L’arco in muratura: un mistero ancora da scoprire
Ing. Adriano Castagnone
Un libro molto interessante, “The History of the theory of structures” di Karl-Eugen Kurrer, nella parte dedicata agli archi in muratura, apre in questo modo:
“The masonry arch is still one of the mysteries of architecture. Anybody who looks into the history of theory of structures quickly encounters this puzzle, the solution to which has occupied countless numbers of scientists and engineers right up to the present day”
“L’arco in muratura è ancora uno dei misteri dell’architettura. Chiunque analizzi la storia della teoria delle strutture incontra rapidamente questo enigma, la cui soluzione ha occupato innumerevoli scienziati e ingegneri fino ai giorni nostri”.
E l’avventura non è ancora finita.
In effetti è molto strano che un tipo di struttura con più di 2000 anni di vita sia ancora oggetto di tante analisi e non si sia ancora giunti a un’unica soluzione condivisa.
Basta una ricerca su Google per scoprire centinaia di documenti, dei quali una buona parte raccontano cosa è stato realizzato nel passato, e poi gli studi recenti, numerosi e con diversi approcci, da parte di quasi tutte le scuole di ingegneria strutturale, italiane e non.
Tanti documenti, ognuno dei quali propone una soluzione, ma in modo un po’ evasivo, nell’incertezza di non aver risolto completamente il mistero.
Oggi, usando un inglesismo alla moda, si direbbe che l’arco in muratura è una struttura smart, molto smart. Perché smart?
La prima ragione: l’arco sfrutta il materiale (naturale o artificiale) nel miglior modo possibile, lavorando principalmente a compressione con tensioni mediamente molto basse, e quindi non soffre lo stress che le strutture moderne sono costrette a sopportare.
Dall’ottocento in poi l’uso di moderni metodi di analisi hanno sempre di più consentito opere leggere e ottimizzate, salvo poi rendersi conto di problemi nel tempo (vedi il degrado del c.a.) e del successivo deterioramento o inadeguatezza per aumenti di carico non previsti.
L’arco, e in generale le strutture in muratura, essendo poco sollecitate, non soffrono aumenti di carico.
La seconda ragione è la grande capacità di sopportare cedimenti e danni localizzati senza gravi conseguenze.
Questa proprietà, vedremo in seguito perché, consente alle strutture ad arco di assorbire, entro certi limiti, fenomeni dovuti a problemi di fondazione, come cedimenti e rotazioni.
La terza ragione è stata la semplicità del dimensionamento di massima. Nel passato si sono usate poche regole per la costruzione, nessun calcolo, nessuna analisi non lineare, semplici rapporti raggio spessore dell’arco e dei piedritti di sostegno.
Regole empiriche, basate sull’esperienza, che oggi siamo in grado di indagare confermandone la validità, dotate di quella semplicità che è alla base di qualsiasi sistema che dura nel tempo.
Insomma: le NTC hanno scoperto l’acqua calda richiedendo il rispetto di criteri di durabilità. Le strutture ad arco hanno da sempre posseduto queste caratteristiche.
Entrando nelle ragioni più analitiche, la gran parte di quanto sopra indicato deriva da una proprietà, apparentemente negativa: la non linearità del materiale.
La muratura non sopporta sforzi di trazione.
Mentre archi realizzati con materiali resistenti a trazione, come il c.a. e l’acciaio, possono portare qualsiasi tipo di carico, per l’arco in muratura i carichi devono essere tali da non provocare distacchi tra i conci.
Per contrastare questo limite interviene la forma.
La curvatura consente di smorzare l’effetto delle spinte orizzontali con i carichi verticali conservando il carico all’interno della sezione stessa, evitandone il ribaltamento.
Se, apparentemente, tutto sembra semplice, quando occorre valutare analiticamente la capacità portante di un arco, sia per carichi verticali che per azioni sismiche, le cose sono molto, molto complesse.
Contrariamente all’analisi elastica delle strutture, di cui si dispone una trattazione oramai consolidata e condivisa, per il calcolo analitico delle strutture ad arco sono state proposte diverse soluzioni.
La complessità è dovuta, come già detto, prima di tutto alla non linearità del materiale, e alle diverse ipotesi, più o meno semplificative, adottate.
Chi si è occupato di archi in muratura è stato Leonardo.
“L’arco non si romperà se la corda dell’archi di fori non toccherà l’arco di dentro”
–
Grande studioso delle strutture in muratura e di archi e volte è stato il prof. Heyman, (The Stone Skeleton 1995, The masonry arch.)
Suo il seguente criterio:
“Se esiste una linea delle pressioni per l’arco completo che sia in equilibrio con i carichi applicati, incluso il peso proprio, e che risulti ovunque interna allo spessore dell’arco in ogni punto e in corrispondenza di ogni sezione, allora l’arco può considerarsi in condizioni di sicurezza”.
Sorprendente la somiglianza con il criterio di Leonardo da Vinci, che senza la cultura scientifica moderna, enunciò un principio simile secoli prima.
Ancora più sorprendente la deduzione del prof. Giuffrè, un altro grande studioso della materia:
“Se l’analista riesce a trovare una curva delle pressioni completamente interna allo spessore dell’arco,
questo sarà almeno altrettanto bravo a trovarsene una da sé e quindi rimanere in equilibrio”.
Ecco perché l’arco è davvero smart!
Metodi di calcolo
METODI STORICI
I metodi storici per il dimensionamento e quindi anche per la verifica di archi in muratura sono perlopiù di origine empirica, dedotti dall’esperienza, a partire da Leonardo. A seguire sono state proposte diverse regole, tutte principalmente basate su rapporti geometrici, come la seguente:
∙
– Regola geometrica di Padre Deran, da (Boscotrecase L. 2006), p. 239
Modalità di calcolo di La Hire per il calcolo dello spessore del piedritto.
Determinazione mediante procedura grafica dello spessore dell’arco soggetto a carichi permanenti (Couplet, 1730).
METODI MODERNI
I metodi moderni per la verifica di archi in muratura si possono dividere, approssimativamente, in due approcci, molto diversi tra loro.
Il primo valuta lo stato interno dell’arco, quindi sollecitazioni e tensioni, con una serie di ipotesi più o meno complesse e, attraverso analisi grafiche e analitiche, valuta la resistenza della struttura in relazione ai carichi.
L’analisi di sollecitazioni e tensioni avviene attraverso lo studio della curva delle pressioni.
La prima questione che si presenta, essendo la struttura iperstatica, è che esistono infinite curve possibili, quindi occorre necessariamente semplificare il problema.
In questa semplificazione si nasconde il mistero.
APPROCCIO ELASTICO LINEARE
L’arco in muratura è iperstatico, quindi, in linea di principio, è possibile trattarlo con la teoria del corpo elastico; lo si può simulare con un telaio, suddividendolo in tratti lineari o curvi e utilizzare degli elementi “beam”, ma ci sono diverse controindicazioni.
La prima riguarda la definizione delle caratteristiche del materiale, non di facile conoscenza. Ad esempio, per l’arco in mattoni entrano in gioco modulo elastico del laterizio e della malta; i giunti possono avere spessore diverso, il materiale spesso non è omogeneo.
Un’altra questione aperta, derivante dalla logica del solido elastico, è la grande influenza di distorsioni nella struttura per piccoli cedimenti dei piedritti. L’analisi elastica consente l’insorgere di grandi sforzi interni.
Questo è in forte contrasto con la realtà, dove anche grandi spostamenti non hanno inficiato la stabilità complessiva. Proprio la non linearità del materiale evita questo effetto, e questo è stato chiarito molto bene dal prof. Heyman, con l’idea che le strutture in muratura sono in grado di autostabilizzarsi.
Se anche non si verificassero le due prime questioni, la risposta all’analisi elastica ha senso solo se la curva delle pressioni resta all’interno della sezione dell’arco, meglio ancora se all’interno del terzo medio. Se questo non succede l’analisi semplicemente non ha senso in quanto indurrebbe sforzi di trazione non ammissibili.
APPROCCIO PER ELEMENTI DISCRETI E PER MECCANISMI
Il secondo approccio affronta il problema riducendo l’arco da iperstatico a isostatico, inserendo opportune cerniere sino a rendere l’arco un meccanismo, che può essere studiato con l’analisi limite. In questo caso la verifica della sicurezza avviene attraverso il rapporto tra carico sopportabile e carico imposto.
Questo approccio è quello proposto dalle Norme Tecniche per le Costruzioni per tutte le tipologie di meccanismi locali.
Le indicazioni delle NTC
Non esistendo nelle normative vigenti prescrizioni specifiche per gli archi in muratura, il capitolo di riferimento è in generale il Cap. 8 sulle costruzioni esistenti.
In particolare, la Circolare n.7/2019 descrive dei metodi di calcolo per quelle strutture in muratura per le quali la crisi non sia in genere causata dal raggiungimento della resistenza limite del materiale, ma piuttosto dalla trasformazione della struttura in un meccanismo di corpi rigidi, tra loro connessi da vincoli interni come cerniere, non più in grado di resistere ad azioni esterne.
È ben documentato in letteratura, infatti, come gli archi in muratura siano strutture di questo tipo, in cui il principale motivo di collasso risiede nell’allontanamento della curva delle pressioni dal nocciolo centrale di inerzia in più punti (quattro punti, se si assume l’arco tre volte iperstatico), con conseguente formazione di cerniere ad attrito che trasformano la struttura in una catena cinematica.
Per questo tipo di costruzioni la Circolare propone due metodi di calcolo: l’analisi cinematica lineare e non lineare, entrambe figlie dell’approccio cinematico, contrapposto a quello statico nell’analisi limite delle strutture.
Il metodo cinematico, infatti, si propone di trovare il moltiplicatore di collasso (ovvero il moltiplicatore delle forze esterne tale da innescare il collasso della struttura) cercandolo tra i possibili meccanismi di collasso e scegliendo poi il minore, l’unico staticamente ammissibile.
Tornando all’arco, infatti, è facile immaginare come la posizione delle quattro cerniere che trasformano la struttura in una catena cinematica non sia nota a priori: a ciascuna configurazione è associato un diverso moltiplicatore di collasso, ma quella che porterà la struttura a collasso è associata al moltiplicatore di collasso più piccolo. La questione si riconduce quindi a un problema di ottimizzazione:
𝛼∗ = min{𝛼̅}
Ma qual è, più nello specifico, la procedura per ottenere il moltiplicatore di collasso 𝛼0?
Ipotizzata una possibile catena cinematica, l’imposizione di un’unica rotazione alla prima cerniera genererà un campo di spostamenti di tutti i punti della struttura, calcolabile a partire da quell’unica rotazione; noti gli spostamenti e noti i carichi esterni, sarà possibile ottenere il lavoro compiuto da ciascuno di questi. Infine, il rapporto tra i lavori non proporzionali ad 𝛼0 e quelli proporzionali fornirà il moltiplicatore di collasso:
𝛼0 𝐿1 + 𝐿2 = 0
𝛼0 = − 𝐿2 / 𝐿1
Dove 𝐿1 è la somma dei lavori proporzionali al moltiplicatore di collasso, mentre 𝐿2 è la somma dei lavori
indipendenti da quest’ultimo.
Analisi cinematica lineare
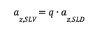
Ottenuto il moltiplicatore di collasso staticamente ammissibile, la Circolare descrive la procedura per ricondurre quest’ultimo alla capacità in termini di accelerazione orizzontale, da confrontare con l’accelerazione sismica di progetto:

Dove 𝑞 è il fattore di comportamento che, in assenza di valutazioni più accurate, può essere assunto pari a 2, e 𝑎𝑧,𝑆𝐿𝐷 è, invece:

In cui 𝑒∗ è la frazione di massa partecipante, valutata sulla base degli spostamenti virtuali relativi al cinematismo.
Analisi cinematica non lineare
L’analisi cinematica non lineare non si limita alla valutazione del moltiplicatore di collasso relativo all’unico cinematismo staticamente ammissibile, ma si propone di tracciare una vera e propria curva di capacità.
Una volta nota la catena cinematica staticamente ammissibile, la rotazione imposta alla prima cerniera viene via via incrementata, ottenendo, su ogni configurazione deformata, il relativo moltiplicatore di collasso 𝛼0, che sarà, naturalmente, decrescente all’aumentare della deformazione.
Scegliendo un punto della struttura come nodo di controllo, sarà possibile monitorarne lo spostamento a ogni step di deformazione e correlarlo al moltiplicatore di collasso, per ottenere, così, un punto della curva di capacità.
L’ultimo step di deformazione sarà quello oltre il quale un’ulteriore deformazione comporterebbe l’ottenimento di un moltiplicatore di collasso non più ammissibile, ovvero negativo.
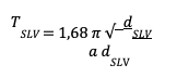
Ottenuta l’intera curva di capacità, lo spostamento ultimo 𝑑0 viene, in accordo con C8.7.2.1.6, ridotto al 40% e al 60% per ottenere rispettivamente 𝑑∗𝑆𝐿𝑉 e 𝑑∗𝑆𝐿𝐶 dell’oscillatore equivalente.
Tramite interpolazione lineare si ottengono le corrispondenti 𝑎∗𝑆𝐿V e 𝑎∗𝑆𝐿𝐶 , mentre il periodo equivalente dei due stati limite è:


Tali periodi vengono utilizzati per il calcolo della domanda di spostamento:

Il modulo arco del software 3Muri IL
Il modulo Arco del software 3Muri IL è il frutto del know-how acquisito da S.T.A. DATA nella trattazione di una materia così complessa come quella degli archi in muratura, mettendo a disposizione dei progettisti diverse analisi tra le quali scegliere e una lunga serie di strumenti per migliorare l’adeguatezza del modello matematico rispetto alla realtà.
In quest’ottica, è possibile ottenere un arco che interpoli i punti; qualora il numero di questi, ottenuti da un rilievo, sia troppo scarso, si può tenere conto del contributo stabilizzante orizzontale del riempimento, compresso dall’arco stesso contro un’eventuale parete fissa in presenza di azioni orizzontali; meritano menzione a parte i carichi variabili, distribuiti in maniera uniforme o parziale e trasmessi all’arco sottostante attraverso un angolo di diffusione.
L’utente può condurre analisi statiche e sismiche. Per quanto riguarda le prime, un’analisi elastica fornisce le sollecitazioni agenti sulla struttura, così come l’andamento della curva delle pressioni; la lettura del valore delle tensioni consentirà di evitare anche quei rari casi in cui la crisi possa avvenire per raggiungimento di alti valori di compressione prima che la struttura si trasformi in un cinematismo. In alternativa, un’analisi di tipo cinematico, condotta usando i carichi variabili come proporzionali al moltiplicatore di collasso, restituisce il valore per i quali questi ultimi dovrebbero essere amplificati o ridotti per portare l’arco a incipiente collasso. D’altra parte, le analisi in presenza di azioni sismiche sono quelle sopra descritte, cinematica lineare e non lineare, in accordo con la Circolare n.7/2019.
La questione della ricerca dell’unica configurazione staticamente ammissibile viene risolta dal software attraverso un efficiente metodo di ottimizzazione.
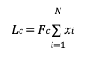
Il software fornisce l’esito delle verifiche pre-intervento ed eventualmente post-intervento, a seguito dell’applicazione di rinforzi all’intradosso e/o all’estradosso. Tali rinforzi vengono tenuti in conto introducendo un contributo aggiuntivo al calcolo del lavoro: l’apertura delle cerniere, infatti, comporterà l’insorgenza di uno sforzo di trazione nei rinforzi.
Perciò, il lavoro prodotto dai rinforzi è:

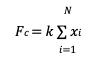
Dove 𝑥𝑖 è l’apertura dell’i-esima cerniera e 𝐹𝑐 è la forza di trazione cui è sottoposto il rinforzo:

Dove 𝑘 è la rigidezza assiale del rinforzo.
L’analisi cinematica non lineare fornisce i risultati sia sotto forma di rapporto tra spostamento ultimo e spostamento richiesto per lo stato limite di interesse, sia in termini di curva di capacità e visualizzazione grafica della deformata della struttura.











