https://stadata.com/wp-content/uploads/2026/02/Screenshot-2026-02-02-100840.jpg456800S.T.A. DATA srlhttps://stadata.com/wp-content/uploads/2023/10/logo-stadata.pngS.T.A. DATA srl2026-02-02 10:09:152026-02-02 12:32:07Combining Seismic Resilience and Energy Efficiency
https://stadata.com/wp-content/uploads/2025/11/15cdc5420eb6e94bf6efa58488e662720b24e846.jpg703961S.T.A. DATA srlhttps://stadata.com/wp-content/uploads/2023/10/logo-stadata.pngS.T.A. DATA srl2026-02-02 09:43:462026-02-02 12:33:22Enhancement of seismic performance of historical clustered buildings
Il telaio in acciaio, inserito in una struttura esistente in muratura portante, ha migliorato le capacità prestazionali dell’opera esistente durante il sisma. L’interoperabilità tra 3Muri Project e AxisVM ha permesso di scambiare i file dati e progettare un telaio con profili in acciaio ottimizzati. Le analisi di vulnerabilità sismica eseguite sui modelli dello stato di fatto e di progetto hanno dimostrato di aver conseguito un adeguamento sismico della struttura.
Il progetto del rinforzo sismico con telai in acciaio è stato eseguito per la struttura in muratura portante esistente, mostrata nella figura seguente, per ridurre la vulnerabilità sismica dell’edificio.
Fig.1 3Muri Project – Vista 3D modello edificio dello stato di progetto senza solai. Struttura in muratura portante con i telai di rinforzo in acciaio
Il caso studio, fornito cortesemente per S.T.A. DATA, si riferisce al progetto realizzato dallo Studio Tecnico dell’Ing. Goffredo Spernanzoni ed è realizzato con l’ausilio dei software di calcolo strutturale 3Muri Project e AxisVM.
I tecnici illustrano dettagliatamente le analisi eseguite con entrambi i software per la corretta progettazione del rinforzo con il telaio in acciaio.
L’analisi della vulnerabilità sismica dello stato di fatto della struttura in muratura è stata condotta con il software 3Muri Project, specifico per questo tipo di analisi sismiche sulle strutture esistenti in muratura. In seguito, si è proceduto all’ottimizzazione dei profili degli elementi di rinforzo in acciaio in AxisVM.
1. Le fasi della progettazione
Le 3 fasi principali della progettazione sono di seguito elencate:
Valutazione della vulnerabilità sismica dello stato di fatto della struttura esistente in muratura;
Ottimizzazione e verifica del telaio di acciaio per il rinforzo sismico della struttura;
Valutazione della vulnerabilità sismica dello stato di progetto della struttura in muratura rinforzata con il telaio in acciaio.
L’ottimizzazione del telaio di rinforzo in acciaio è stata eseguita con il software agli elementi finiti AxisVM per le funzionalità avanzate dedicate al raffinamento del progetto in acciaio e per la documentazione dettagliata finale redatta.
Lo stato di progetto, ottimizzato, è stato importato nuovamente in 3Muri ed analizzato per verificare la riduzione della vulnerabilità sismica e documentare il miglioramento ottenuto rispetto allo stato di fatto.
2. Valutazione dello stato di fatto
La struttura esistente in muratura è costituita da 3 corpi affiancati di dimensioni differenti. Tutti i corpi sono stati modellati in 3Muri Project.
Il corpo principale è il più alto e al primo livello presenta un solaio di putrelle e tavelloni. Il solaio al secondo piano è composto da un tavolato semplice, la copertura a falde è in legno e il resto dei solai è in laterocemento. Gli elementi verticali delle 3 strutture sono pannelli in muratura.
Fig.2 3Muri Project – Visualizzazioni: a destra il modello 3D dello stato di fatto – a sinistra la planimetria
Il modello dello stato di fatto è stato verificato con l’analisi statica non lineare globale (pushover) in 3muri Project, come indicato nella Normativa NTC2018 + Circolare. Nelle 24 analisi pushover si evidenziano le fragilità della struttura nelle due direzioni del sisma.
In particolare, la verifica più gravosa in direzione X non è soddisfatta per la parete evidenziata in rosso in pianta, in basso a sinistra. Si può osservare il livello di danneggiamento attraverso la deformata della pianta, la corrispondente curva di capacità e i valori tabellati dei risultati delle analisi eseguite. Il maschio murario risulta danneggiato a taglio.
Fig.3 3Muri Project – Risultati delle 24 analisi pushover. La più gravosa in direzione X è evidenziata nella finestra superiore
La parete danneggiata nella direzione Y, invece, è il pannello centrale del corpo principale come evidenziato in rosso in pianta. In questo caso, gran parte del pannello subisce una rottura a taglio.
Fig. 4 3Muri Project – Risultati delle 24 analisi pushover. La più gravosa in direzione Y è evidenziata nella finestra superiore
3. Progetto di intervento
I progettisti, in base ai risultati emersi dalle analisi statiche non lineari, hanno deciso di rinforzare le pareti centrali del corpo più alto attraverso l’inserimento di telai di rinforzo in acciaio con tiranti di controventamento in acciaio.
L’intervento ipotizzato permette di conseguire minime variazioni architettoniche e contemporaneamente migliorare la risposta strutturale durante il sisma di progetto.
Si è creato, quindi, il modello dello stato di progetto della struttura in muratura e nella figura seguente si mostrano le planimetrie con le posizioni ipotizzate per i telai, in rosso, e per i tiranti, in blu.
Fig.53Muri Project – Pianta stato di progetto: a destra la posizione dei telai in acciaio; a sinistra la posizione dei tiranti
La progettazione del telaio in acciaio è eseguita in AxisVM importando, da 3Muri, il modello completo (geometrie e carichi) grazie alle proprietà di interscambio dei dati tra i due software.
Fig.6Esportazione del modello 3D di 3Muri Project in AxisVM
In AxisVM, si eliminano i pannelli murari centrali e, sul modello architettonico tridimensionale, viene realizzato un telaio con elementi finiti specifici. Nella figura seguente, si mostra tale modello tridimensionale con il telaio di rinforzo inserito. Si evidenziano in blu gli elementi beam, per i telai in acciaio, e in verde gli elementi truss per i tiranti, assoggettati solo a sforzi assiali. Gli elementi truss in AxisVM hanno, di default, le cerniere ai nodi iniziale e finale di estremità.
Fig.7 AxisVM – Modello architettonico tridimensionale della struttura con gli elementi beam e truss
Il dimensionamento dei profili è stato fatto in automatico dopo aver scelto un set di profili in dotazione di AxisVM. Infatti, impostati i criteri progettuali, il programma inserisce la sezione di acciaio più performante.
La scelta dei profili candidati può avvenire prendendoli direttamente dalla libreria del software. AxisVM ha una libreria assortita e ha permesso di scegliere tra famiglie intere di profili standard comunemente utilizzati (HE, IPE, scatolare, ecc…) oppure solo alcuni profili.
Scelti i profili, il professionista ha definito il criterio di ottimizzazione e, in questo caso, ha scelto:
il peso minimo;
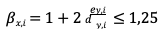
l’efficienza massima che i profili possono raggiungere. È possibile abbassare il livello di efficienza massima dall’unità ad un valore inferiore per rimanere a favore di sicurezza;
i vincoli geometrici di ingombro minimo e massimo dei profili.
Fig.8AxisVM – Ottimizzazione dei profili in acciaio
Si definiscono, inoltre, anche le verifiche con cui deve essere condotta l’ottimizzazione. Il software effettua l’ottimizzazione del profilo con calcoli iterativi e indica il profilo più prestazionale, che in questo caso è HEA140.
Fig.9AxisVM – Fase di ricerca automatica del profilo più prestazionale
AxisVM ha indicato automaticamente la sezione più performante, in funzione dei criteri impostati. Il progettista, quindi, ha sostituito nel telaio in acciaio, con la modalità automatica, i profili iniziali con il profilo ottimizzato.
Fig.10AxisVM – Modello 3D del telaio di rinforzo con profili in acciaio ottimizzati
Successivamente, il progettista ha verificato il telaio tridimensionale in acciaio. Per eseguire tali verifiche è necessario definire i parametri di progetto:
la classificazione del profilo può essere inserita in automatico o può essere imposta;
il riconoscimento degli elementi strutturali può essere effettuata da nodo a nodo oppure raggruppata in più elementi;
la modalità di calcolo della lunghezza di libera inflessione può essere calcolata in funzione dei vincoli inziale e finale dell’elemento oppure imputarla manualmente come valore numerico;
la modalità di calcolo automatico del momento critico, cioè considerando gli appoggi laterali o specificando i parametri di base oppure imputarlo manulamente;
per la determinazione del momento critico esiste all’interno del software un algoritmo in grado di definirla in maniera automatica tenendo conto anche degli appoggi laterali, diversamente è possibile farlo specificando i parametri di base oppure imputando direttamente il valore;
definiti i parametri per lo SLU è possibile definire anche quelli allo SLE, che caratterizzano ad es. il valore limite della freccia.
Successivamente è possibile visualizzare i risultati di questa progettazione. La figura seguente mostra un output grafico delle analisi.
I valori dello sfruttamento delle travi e dei pilastri del telaio in acciaio ottimizzato sono espressi attraverso un diagramma a colori che, in questo caso, conferma il superamento delle verifiche stabilite dalla Normativa. Gli elementi che non verificano hanno delle linee tratteggiate in obliquo e in rosso, ma in questo caso sono tutti verificati perché sono stati ottenuti dalla procedura di ottimizzazione.
Fig.11AxisVM – Vista d’insieme dello sfruttamento del telaio in acciaio ottimizzato
Il passo successivo è quello di redigere la documentazione. Tramite le capacità avanzate della reportistica di AxisVM, il progettista ha visualizzato la Relazione finale personalizzata con le analisi eseguite e con tutte le immagini che ha catturato all’interno del modello.
Le immagini della Relazione di AxisVM non sono statiche ma dinamiche e quindi, se il progettista decide di cambiare gli elementi, il software le aggiorna in automatico.
Si riportano i valori globali in tabelle riassuntive.
Inoltre, si possono specificare tutti i passaggi di verifica di ogni singolo elemento.
Si visualizzano i diagrammi delle sollecitazioni, le tabelle riassuntive con il valore di “Max” sfruttamento, il dettaglio numerico delle verifiche di sicurezza eseguite per ogni singola asta con le relative formule usate e i passaggi di calcolo.
Nella figura seguente si mostra un esempio di Relazione finale con una vista generale delle verifiche eseguite sul telaio di acciaio, una tabella riassuntiva con i coefficienti di utilizzo nella colonna MAX.
L’elemento più sollecitato si trova alla fine della tabella e, successivamente, vengono inserite le verifiche di dettaglio che spiegano come sono stati calcolati i coefficienti di sicurezza con tutte le formule utilizzate esplicitate e con tutti i passaggi di calcolo.
Chiaramente, la verifica di dettaglio può essere effettuata su ogni singolo elemento ma questa organizzazione permette di compattare in maniera più efficace il volume della documentazione pur riportando tutti i parametri necessari per la verifica.
Fig.12 AxisVM – Esempio di Relazione finale con una vista generale delle verifiche eseguite sul telaio 3D
Il progettista esegue, successivamente, le verifiche degli elementi diagonali di controventamento impostando per essi un’analisi lineare. I tiranti sono elementi che lavorano solo a trazione.
In AxisVM, per risolvere un comportamento simile, all’interno del modello è possibile definire dei parametri non lineari ed eseguire, quindi, un’analisi non lineare per tenere in considerazione questo tipo di comportamento.
In questo caso, l’ingegnere ha ritenuto non significativa la rigidezza a compressione di tali aste e incapaci di alterare il comportamento globale della struttura. Si è, quindi, deciso di eseguire
un’analisi lineare. Scelti i profili delle aste, le verifiche sono state, quindi, condotte ai soli carichi assiali.
Fig.13AxisVM – Finestra di definizione dei parametri di analisi dei tiranti
Coerentemente con l’ipotesi progettuale, si è proceduto solo con le verifiche di trazione e si sono escluse le verifiche di instabilità perchè, nell’analisi lineare, avrebbero messo in evidenza
l’instabilizzazione a compressione dei tiranti per la loro snellezza, causando successivamente anche il non superamento di tutte le verifiche successive.
Nella figura seguente si mostra un esempio di Relazione finale dei tiranti in cui, seguendo la stessa organizzazione vista nella Relazione precedente, è stata catturata l’immagine che riporta gli elementi elencati in tabella.
Si mostra la tabella riassuntiva dei coefficienti di utilizzo. Nella parte finale della Relazione si mostra il dettaglio delle analisi condotte sull’elemento più sollecitato. Si osserva che, in questo caso, è stata condotta un’unica verifica, ossia la verifica ai carichi assiali.
Fig.14AxisVM – Risultati della verifica dei tiranti
Il progettista, infine, ha anche verificato, in AxisVM, le connessioni dei nodi in acciaio.
La verifica della piastra alla base dei pilastri in acciaio è stata eseguita dopo aver customizzato le dimensioni, la posizione della piastra, la tipologia, il numero dei rinforzi e degli ancoraggi, lo spessore del cordone delle saldature e la geometria del basamento.
Fig.15AxisVM – Visualizzazione 3D del telaio in acciaio con in basso il focus delle connessioni alla base dei pilastri. In alto il particolare del tipo di unione del pilastro con la piastra di base per il suo collegamento al basamento
Fig.16AxisVM – Finestra di input dati collegamento pilastro – piastra di fondazione al basamento in cls
Il progettista mostra, nella figura seguente, la scelta eseguita per il collegamento del giunto trave- colonna. In questo caso, ha sviluppato il collegamento verso il basso per non interferire con il solaio sovrastante.
Il tool di AxisVM ha persmesso di personalizzare tutti i parametri geometrici prima della verifica.
Fig.17AxisVM – Visualizzazione 3D del telaio in acciaio con i collegamenti tra i pilatri e le travi in acciaio.
Particolare del tipo di collegamento del giunto trave-colonna
Fig.18 AxisVM – Finestra di input dati giunto trave-pilastro
La Relazione delle verifiche dei nodi in acciaio, fornita in automatico, illustra il dettaglio delle geometrie, le immagini dei collegamenti verificati, l’elenco delle sollecitazioni applicate, le formule di verifica e i calcoli eseguiti.
Fig.19 AxisVM – Relazione finale dei risultati ottenuti dalle verifiche dei nodi in acciaio
4. Valutazione dello stato di progetto
L’ultima fase è la valutazione della vulnerabilità sismica dello stato di progetto in 3Muri Project. Il modello dell’edificio in muratura portante, completo con il telaio in acciaio per il rinforzo sismico, viene importato in 3Muri per eseguire tale valutazione sismica.
In questa fase è condotta la verifica più gravosa con l’analisi statica non lineare nelle due direzioni X e Y.
I risultati ottenuti da questa analisi mostrano una buona risposta sismica della struttura rinforzata. Inoltre, confrontando i risultati delle analisi dello stato di progetto con quelli dello stato di fatto, il professionista ha dimostrato il miglioramento ottenuto sul comportamento strutturale dei maschi e delle fasce di piano.
3Muri Project è stato progettato per eseguire l’analisi pushover di una struttura esistente a prevalenza a muraria e supporta il professionista evidenziando le fragilità e le tipologie di rottura che gli elementi strutturali subiscono durante il sisma.
I risultati hanno messo in evidenza che le scelte progettuali di questo tipo di rinforzo sono state adeguate al superamento delle verifiche richieste allo SLC e SLV.
Inoltre, l’ingegnere ha constatato che con questo intervento ha ottenuto un adeguamento sismico della struttura rinforzata.
Il dettaglio dell’adeguamento raggiunto è evidenziato nei risultati delle analisi pushover eseguite. Si mostra, nelle seguenti immagini, gli output delle analisi pushover sui pannelli murari con il rinforzo in acciaio.
Fig.20 3Muri Project- Output delle analisi pushover eseguita in direzione X sulla struttura rinforzata. La struttura risulta verificata
Fig.213Muri Project – Output delle analisi pushover eseguita in direzione Y sulla struttura rinforzata. La struttura risulta verificata
Nella seguente immagine si vede un dettaglio del telaio in acciaio verificato con l’analisi pushover in direzione +Y. Si nota come data un’analisi in direzione parallela al telaio, vengono attivati i tiranti solo in trazione in una sola direzione e che il tirante posizionato al piano più basso si è plasticizzato.
Fig.223Muri Project – Dettaglio di output delle analisi pushover eseguiti per i tiranti in direzione +Y
Invertendo la direzione in -Y si osserva che i precedenti elementi soggetti a trazione diventano inefficaci e si attivano a trazione gli altri tiranti che in precedenza non si erano attivati.
Fig.233Muri Project – Dettaglio di output delle analisi pushover eseguiti per i tiranti in direzione -Y
Il processo di progettazione e analisi seguito dal professionista per il rinforzo sismico in acciaio delle strutture in muratura esistenti deve essere condotto considerando lo stato reale delle murature dell’edificio.
I progettisti, che cortesemente hanno fornito tutti i modelli, hanno mostrato quanto sia stata strategica la scelta di usare entrambi i software per le decisioni progettuali della struttura rinforzata con il telaio in acciaio.
Per maggiori informazioni il nostro Team è sempre a vostra disposizione al n. verde 800 236 245 oppure all’indirizzo comm@stadata.com.
3Muri Project X4 è il software di calcolo strutturale nato dal team di sviluppo di STA DATA, appositamente pensato come soluzione integrata e modulare per l’analisi delle strutture in murature e miste, sia dal punto di vista globale che locale.
Accanto al modulo principale, dedicato alla verifica globale della struttura, sono disponibili i seguenti moduli opzionali che completano il programma:
Modulo meccanismi locali consente questa verifica a partire dal modello utilizzato per la verifica globale realizzata con il modulo principale, qualora il comportamento scatolare non sia garantito per mancanza dei collegamenti tra solai e pareti;
Modulo analisi di sensibilità. Il calcolo delle strutture esistenti in muratura è particolarmente complesso a causa delle incertezze delle entità in gioco, come le rigidezze degli elementi, le resistenze e le geometrie. L’analisi di sensibilità ha come obiettivo una migliore conoscenza del comportamento strutturale attraverso l’individuazione dei parametri che maggiormente incidono nel calcolo, permettendo di focalizzare l’attenzione su questi dati;
Modulo fondazioni che permette, a completamento delle verifiche delle strutture in elevazione, la verifica delle strutture di fondazione esaminando la distribuzione delle tensioni sul terreno. Il modulo Fondazioni, inoltre, permette l’esame della capacità portante e i cedimenti di fondazioni continue, il progetto di plinti di fondazione in c.a.
Modulo multithreading e solutore a matrici sparse che permette di utilizzare due differenti impostazioni di calcolo in merito al processore: la selezione del metodo di calcolo a matrici dense o matrici sparse e il multiprocessore. Il modulo multithreading permette di indirizzare ogni analisi su un differente processore del pc, con un notevole risparmio in termini di tempo.
Modulo IFC che permette l’importazione ed esportazione in formato IFC, per consentire l’interoperabilità tra progettisti differenti.
Modulo SismoTest dedicato alla Classificazione sismica degli edifici, secondo il D.M. n. 65 del 7/3/2017.
La versione X7 di AXISVM è ricca di molte novità, come le nuove funzionalità del programma, l’aggiornamento di molti moduli esistenti e l’uscita di due nuovi moduli esclusivi della versione X7. Il software AxisVM è completamente modulare ed è possibile, quindi, costruire una personale configurazione interamente realizzata sulle reali esigenze del singolo progettista, senza includere onerosi moduli che non si utilizzeranno. È sempre possibile modificare e integrare la propria configurazione sulla base di nuove esigenze e necessità.
AxisVM supporta la metodologia BIM attraverso le funzioni di costruzione del modello (uso degli oggetti parametrici), realizzando l’interoperabilità con gli altri software (strutturali ed architettonici), ed elaborando tavole grafiche ricavate automaticamente dal modello 3D.
Il BIM è una realtà che si sta diffondendo tra i progettisti ed è previsto esplicitamente dal nuovo Codice Appalti (DLgs 50/2016).
Per maggiori informazioni e una guida pratica sulla versione X7 di AXISVM, sono disponibili sul nostro canale YouTube tre interessanti video realizzati dall’ingegnere Danilo Ricci (AXISVM Expert presso S.T.A. DATA) e dall’ingegnere Adriano Castagnone, Direttore scientifico di S.T.A. DATA.
https://stadata.com/wp-content/uploads/2024/10/img-cover-3.jpg9601440S.T.A. DATA srlhttps://stadata.com/wp-content/uploads/2023/10/logo-stadata.pngS.T.A. DATA srl2024-10-28 12:00:002026-02-19 10:07:57Progettazione di telai di rinforzo in acciaio per una struttura in muratura
Con il presente articolo si mira ad illustrare alcune delle principali tipologie di interventi di rinforzo applicabili alle strutture in muratura, con particolare focus sul supporto fornito dai software di calcolo e sulle peculiarità di 3Muri Project in merito all’argomento.
Nell’ambito di un edificio esistente in muratura, dal punto di vista strutturale, spesso lo scopo del progetto risiede nell’adeguamento o nel miglioramento statico e sismico della struttura (se quest’ultima non dispone del livello di sicurezza richiesto da normativa).
A tal proposito, è necessario intervenire con interventi di rinforzo sugli elementi strutturali danneggiati o poco resistenti. Focalizzando l’attenzione nell’ambito dei rinforzi strutturali, possiamo citare l’utilizzo di rinforzi FRP (Fiber Reinforced Polymer) e dei rinforzi FRCM (Fiber Reinforced Cementitious Matrix) i quali, grazie alle norme di riferimento che ne regolano l’impiego e al successo degli interventi realizzati sul campo, hanno subito una rapida diffusione.
Oltre a queste due tipologie di rinforzo, però, è possibile far riferimento ad altre modalità altrettanto efficaci ed altrettanto consolidate, come le catene metalliche o le miscele leganti.
L’utilizzo di sistemi innovativi: FRP e FRCM
I rinforzi FRP sono materiali costituiti da fibre di rinforzo immerse in una matrice polimerica. Vengono applicati sull’elemento da rinforzare mediante l’uso di resine che svolgono due diverse funzioni: da una parte fungono da elemento impregnante e dall’altra da adesivo al substrato interessato.
In questo tipo di compositi, le fibre svolgono il ruolo di elementi portanti (sia in termini di resistenza che di rigidezza); la matrice, oltre che a svolgere la funzione di protezione nei confronti delle fibre, ha il compito di trasferire gli sforzi tra le fibre e l’elemento strutturale su cui è stato applicato il composito.
Le fibre maggiormente utilizzate per la produzione di compositi per il rinforzo strutturale sono quelle aramidiche, quelle in vetro e in carbonio.
I tessuti possono essere uniassiali, biassiali o multiassiali (a seconda della direzione di tessitura trama- ordito).
Invece, per la fabbricazione dei compositi fibro-rinforzati, in genere vengono utilizzate matrici polimeriche a base di resine termoindurenti. In questo caso è l’adesivo ad avere il compito di collegare e trasferire le forze tra l’elemento da rinforzare e il composito.
L’applicazione di un rinforzo FRP ad un elemento strutturale comporta inoltre un miglioramento globale della struttura in muratura (come l’intervento mediante catene metalliche) e non solo un miglioramento locale dell’elemento.
I compositi FRCM sono costituiti da fibre lunghe ad elevate resistenza a trazione, annegate all’interno di una matrice inorganica, la quale ha il compito di garantire l’aderenza al supporto.
A differenza degli FRP, i quali si presentano sottoforma di tessuti, i sistemi FRCM sono costituiti da reti a maglia aperta.
Questi sistemi hanno un’elevata durabilità e deformabilità, proprietà direttamente collegate all’efficacia finale del rinforzo in opera.
Oltre alle caratteristiche meccaniche del materiale in sé, il termine “durabilità” si riferisce anche a tutti gli aspetti che garantiscono l’efficacia dell’intervento nel tempo: affinché la capacità resistente venga preservata nel tempo, è essenziale che ci sia una collaborazione tra i materiali di cui è costituito l’elemento strutturale e il materiale utilizzato nell’intervento.
Questi concetti li troviamo espressi all’interno della circolare n°7/2019 al paragrafo C8.6, il cui testo normativo invita a soffermarsi sulla necessità di valutare gli effetti dovuti al comportamento termico, alle reazioni chimiche e al ritiro differenziale, evidenziando come questi aspetti possano compromettere l’efficacia dell’intervento a lungo termine.
Ulteriori sistemi di rinforzo per elementi in muratura: catene metalliche, catene (o fasce) in FRP/FRCM e miscele leganti
Come precedentemente anticipato, esiste un’ampia varietà di interventi di rinforzo applicabili agli elementi in muratura.
Le catene metalliche rappresentano un’efficace soluzione in casi di connessioni mancanti o deboli, per migliorare le prestazioni delle fasce murarie, prevenire il ribaltamento delle facciate oppure per bilanciare la spinta generata dagli orizzontamenti.
Le catene si presentano come tiranti metallici monodimensionali a sezione circolare (o rettangolare in casi particolari), corredati da elementi di ancoraggio che ne consentono la messa in opera, definiti capochiave.
Questa tipologia di intervento viene spesso preferita ad altre in quanto più economica e reversibile, condizione che aggiunge un notevole valore in caso di edifici in muratura esistente interessati da opere di restauro conservativo.
I materiali già analizzati FRP e FRCM possono anche essere utilizzati come catene al livello del solaio: ciò consente di ottenere non solo un miglioramento globale della struttura ma, se si effettua correttamente l’intervento, anche un miglioramento sismico lungo l’asse delle spinte orizzontali.
Affinché il miglioramento sismico venga considerato tale, la normativa impone un aumento di almeno 0,1 dell’indice di vulnerabilità dello stato di progetto rispetto allo stato di fatto.
Le catene (o fasce) in FRP e FRCM possono agilmente far fronte a questa necessità: un intervento di questo tipo prevede la scelta del materiale in relazione al blocco al quale andrà applicato.
Questa specifica tipologia di catene trova la massima efficacia della sua funzione applicata alle pareti perimetrali della struttura, fungendo da supporto consolidante.
Figura 1 – Pannello di definizione delle caratteristiche, catene in FRP/FRCM, 3Muri Project
Un’ulteriore possibilità di intervento risiede nell’iniezione di miscele leganti: questa tipologia di rinforzo risulta ottimale per prevenire la disgregazione della muratura poiché non solo rafforza il legame tra le parti, ma contribuisce all’eliminazione dei vuoti ottenendo come risultato una muratura coesa e dal comportamento monolitico.
Questa operazione determina l’amplificazione dei parametri meccanici della muratura: le resistenze meccaniche e i moduli elastici.
Il coefficiente di amplificazione di tali parametri viene definito dalla normativa vigente in base alla tipologia di muratura.
Se, per esempio, operassimo su una muratura con un coefficiente di amplificazione pari a 2 i parametri meccanici della stessa raddoppierebbero.
Durante un intervento di questo tipo, è fondamentale selezionare la miscela con cura scrupolosa: è necessario porre attenzione soprattutto alla compatibilità chimico-fisicomeccanica tra la miscela e la tipologia muraria in oggetto, così da non incorrere in eventuali reazioni non previste.
L’operazione, in quanto discretamente invasiva e non reversibile, obbliga il professionista a prevederne in anticipo l’efficacia mediante una simulazione.
I rinforzi per il miglioramento e l’adeguamento sismico: l’importanza del software di calcolo
Data la rapida diffusione e l’elevato utilizzo di questi sistemi, esiste una grande varietà di prodotti presenti sul mercato; pertanto, è fondamentale per il progettista possedere piena padronanza di tutti i concetti espressi all’interno delle norme tecniche e del significato di tutti i parametri in essa contenuti.
Il dimensionamento di questa tipologia di rinforzi dipende da un elevato numero di parametri che lo rendono sensibilmente diverso da caso a caso.
È sufficiente pensare come, oltre alle caratteristiche meccaniche delle fibre, incidano sulle prestazioni anche parametri come la grammatura, la tessitura e le proprietà della matrice.
Non è mai sufficiente basare la scelta di un sistema di rinforzo sulle caratteristiche meccaniche – resistenza e deformabilità – del singolo rinforzo; l’elemento che va analizzato è il sistema finale, formato dal rinforzo applicato sull’unità strutturale.
In seguito a tali riflessioni, è immediato riconoscere la fondamentale importanza dell’uso di un software di calcolo che vada in aiuto al progettista mettendo a disposizione un archivio contenente non solo gli elementi di rinforzo, ma anche i relativi parametri geometrici e meccanici.
3Muri Project, il software di S.T.A. DATA per il calcolo sismico e statico delle strutture in muratura, consente la progettazione di interventi su edifici esistenti, fornendo un aiuto concreto al progettista.
Infatti, attraverso l’analisi pushover, consente di individuare le zone maggiormente interessate dall’evento sismico, mappando il danno che si manifesta all’interno degli elementi strutturali esistenti.
Figura 2 – Prospetto di danno, 3Muri Project
Attraverso l’esame degli elementi deteriorati, è possibile individuare le zone in cui intervenire posizionando i rinforzi adeguati.
La definizione delle caratteristiche del rinforzo può essere fatta all’interno dell’apposita finestra di definizione dalla quale è possibile accedere alle varie librerie presenti.
Figura 3 – Pannello delle proprietà di rinforzo, 3Muri Project
Queste librerie vengono fornite direttamente dai produttori e contengono tutti i parametri – geometrici e meccanici – relativi alle diverse tipologie di rinforzo, nonché una serie di ulteriori parametri descrittivi che sono di supporto per effettuare una scelta oculata.
Tra questi ritroviamo: le modalità di applicazione del rinforzo, a quale materiale e a quali elementi è applicabile e quali sono i supporti convenzionali sui quali è stato testato.
Nel caso di rinforzi FRCM l’applicazione su un rinforzo conforme a quello convenzionale ci offre la possibilità di utilizzare, al posto dei classici parametri caratteristici, i parametri convenzionali ed evitare le verifiche nei confronti del fenomeno di distacco.
Come suggerito all’interno della CNR-DT 215/2018:
l’applicazione del rinforzo su un supporto convenzionale coerente a quello suggerito, permette di evitare la verifica esplicita nei confronti del distacco dal supporto o di scorrimento delle fibre nella matrice in corrispondenza delle estremità del rinforzo.
In merito all’inserimento di catene metalliche, 3MuriProject permette di sostituire il pannello murario con il sistema composto dal pannello più la catena, definendo le caratteristiche della stessa e il tiro precarico.
L’applicazione delle catene è operabile sia in ambiente globale che in ambiente locale, così da intervenire in maniera mirata in base alle necessità di progetto.
In caso di applicazione in ambiente locale, il software consente di dimensionare le catene applicando un tiro che equivale alla forza che vogliamo venga esplicata dalla catena stessa per soddisfare la verifica dei meccanismi locali.
Figura 4 – Pannello di definizione delle caratteristiche, catene metalliche, 3Muri Project
Se, invece, si deve intervenire mediante l’iniezione di miscele leganti, 3MuriProject permette di effettuare la simulazione dell’intervento partendo dalla definizione del materiale, per poi sostituirlo alla porzione di muratura interessata dall’operazione.
Figura 5 – Pannello di definizione delle proprietà del materiale, miscele leganti, 3Muri Project
Conoscere approfonditamente la natura dei rinforzi e la loro modalità di applicazione è una condizione imprescindibile per un intervento oculato e corretto. L’uso di software di calcolo e librerie apposite rappresenta, quindi, non solo un grande vantaggio per il progettista in termini di qualità e tempi di realizzazione del lavoro, ma anche un supporto efficace per la scelta del rinforzo da applicare e per il successivo riscontro ottenuto mediante l’intervento.
https://stadata.com/wp-content/uploads/2024/10/img-cover-1.jpg327500S.T.A. DATA srlhttps://stadata.com/wp-content/uploads/2023/10/logo-stadata.pngS.T.A. DATA srl2024-10-21 11:30:002024-07-30 17:27:33Miglioramento ed adeguamento sismico di strutture esistenti in muratura: dai tessuti FRP/FRCM alle miscele leganti
Gli eventi sismici recenti hanno posto in primo piano il problema della vulnerabilità degli edifici esistenti in muratura. L’importanza che il problema riveste è associata principalmente alla salvaguardia della vita delle persone a cui è destinato l’utilizzo della struttura.
La mancanza o la carenza di connessioni tra gli elementi strutturali in muratura provocano il verificarsi di meccanismi di collasso di tipo locale.
Quindi la valutazione della sicurezza degli edifici in muratura portante va eseguita oltre che in riferimento al comportamento globale, anche considerando i possibili meccanismi di collasso locale.
Il quadro fessurativo può fornirci un’indicazione di quali meccanismi si possano attivare sulla struttura.
Individuati tali meccanismi, occorre poi definire uno o più modelli di analisi per valutare l’entità dell’azione sismica che ne determina l’attivazione provocando il collasso della costruzione.
L’analisi è rivolta alla determinazione del coefficiente sismico moltiplicatore dei carichi orizzontali agenti sugli elementi strutturali, che attiva il cinematismo in questione.
A tal fine è possibile considerare le strutture murarie, come costituite da corpi rigidi, ed i macroelementi coinvolti nei cinematismi. La valutazione delle condizioni di equilibrio limite, sotto l’azione del sisma, è condotta trascurando la resistenza a trazione della muratura. I valori dei moltiplicatori di collasso, ottenuti per i diversi meccanismi compatibili con le caratteristiche costruttive dell’edificio analizzato, consentono di individuare quello che determina la crisi della struttura, corrispondente al moltiplicatore minore, e l’entità dell’azione sismica che lo attiva. Inoltre, consentono di segnalare altre potenziali situazioni di pericolo dovute a possibili meccanismi associati ai più bassi valori del moltiplicatore λ.
I meccanismi locali principali sono riconducibili principalmente a due categorie:
cinematismi di collasso connessi al comportamento della muratura fuori dal piano, meccanismi di ribaltamento (meccanismi di 1° modo);
cinematismi di collasso associati alla risposta della parete nel piano, meccanismi di scorrimento (meccanismi di 2° modo).
1. Analisi cinematica lineare
Le analisi dei meccanismi locali di collasso fuori dal piano vengono qui sviluppate tramite l’analisi limite dell’equilibrio secondo l’approccio cinematico che si basa sulla scelta del meccanismo di collasso e la valutazione dell’azione orizzontale che attiva tale cinematismo. Per ogni possibile meccanismo locale ritenuto significativo per l’edificio, il metodo impiegato prevede la trasformazione di una parte della costruzione in un sistema labile attraverso l’individuazione di corpi rigidi definiti individuando possibili piani di frattura.
Come già detto, si considera nulla la resistenza a trazione della muratura; in genere si considera infinita la resistenza a compressione della stessa. I corpi sono in grado di ruotare o scorrere tra loro e per ogni meccanismo viene valutato il moltiplicatore orizzontale dei carichi λ, che comporta la sua attivazione. Per ottenere il moltiplicatore orizzontale dei carichi, al quale fare riferimento in fase di verifica, è necessario applicare ai blocchi rigidi, che compongono la catena cinematica, tutte le azioni che si esercitano sul sistema e che sono costituite da:
i pesi propri dei blocchi, applicati nei rispettivi baricentri;
i carichi verticali portati dagli stessi, quali: pesi propri e sovraccarichi dei solai, delle volte e della copertura e di altri elementi murari non considerati nel modello strutturale;
un sistema di forze orizzontali proporzionali ai carichi verticali portati, se queste non sono efficacemente trasmesse ad altre parti dell’edificio;
eventuali ulteriori forze esterne, ad esempio quelle trasmesse da catene metalliche.
Il moltiplicatore λ si ottiene applicando il Principio dei Lavori Virtuali, in termini di spostamenti, uguagliando il lavoro totale eseguito dalle forze esterne, applicate al sistema in corrispondenza di un atto di moto virtuale, al lavoro di eventuali forze interne dove:
n: è il numero di tutte le forze peso applicate ai diversi blocchi della catena cinematica;
m: è il numero di forze peso non direttamente gravanti sui blocchi le cui masse, per effetto dell’azione sismica, generano forze orizzontali sugli elementi della catena cinematica, in quanto non efficacemente trasmesse ad altre parti dell’edificio;
o: è il numero di forze esterne, non associate a masse, applicate ai diversi blocchi;
Pi: è la generica forza peso applicata al blocco;
Pj: è la generica forza peso, non direttamente applicata ai blocchi, la cui massa, per effetto dell’azione sismica, genera una forza orizzontale sugli elementi della catena cinematica, in quanto non efficacemente trasmesse ad altre parti dell’edificio;
δix: è lo spostamento virtuale orizzontale del punto di applicazione dell’i-esimo peso Pi, assumendo come verso positivo quello associato alla direzione secondo cui agisce l’azione sismica che attiva il meccanismo;
δjx: è lo spostamento virtuale orizzontale del punto di applicazione dell’j-esimo peso Pj, assumendo come verso positivo quello associato alla direzione secondo cui agisce l’azione sismica che attiva il meccanismo;
δiy: è lo spostamento virtuale verticale del punto di applicazione dell’i-esimo peso Pi, positivo se verso l’alto;
Fh: è il valore assoluto della generica forza esterna applicata ad un blocco;
δh: è lo spostamento virtuale del punto di applicazione dell’h-esima forza esterna, nella direzione della stessa e di segno positivo se di verso discorde;
Lfi: è il lavoro di eventuali forze interne.
Gli spostamenti dei punti di applicazione delle forze sono calcolati tenendo conto della geometria della struttura, assegnando una rotazione virtuale al generico blocco.
2. Verifica di sicurezza SLV
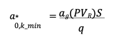
La verifica di attivazione del meccanismo avviene confrontando l’accelerazione di attivazione del meccanismo con l’accelerazione sismica.
La verifica è soddisfatta se l’accelerazione di attivazione del meccanismo è maggiore di quella
sismica, le due accelerazioni sono definite con le seguenti formule:
se la porzione di struttura interessata dal meccanismo di collasso è vincolata a terra
se la porzione di struttura interessata dal meccanismo di collasso è posizionata ad una quota superiore.
Dove:
a*0: l’accelerazione sismica spettrale di attivazione del meccanismo;
ag: funzione della probabilità di superamento dello stato limite scelto e della vita di riferimento;
S: prodotto del coefficiente di amplificazione topografica e del coefficiente di amplificazione stratigrafica;
q: fattore di struttura, assunto uguale a 2;
Se(T1): spettro elastico, funzione della probabilità di superamento dello stato limite scelto e del periodo di riferimento VR, calcolato per il periodo T1;
ψ(Z): primo modo di vibrazione nella direzione considerata, normalizzato ad uno in sommità all’edificio; in assenza di valutazioni più accurate può essere assunto ψ (Z)=Z/H, dove H è l’altezza della struttura rispetto alla fondazione;
γ: coefficiente di partecipazione modale (in assenza di valutazioni più accurate può essere assunto γ=3N/(2N+1), con N numero di piani dell’edificio).
3. Meccanismi più frequenti
Vediamo ora quali sono i meccanismi di collasso più frequenti e quali sono le cause che possono provocare tali meccanismi. I meccanismi più frequenti sono:
Ribaltamento semplice
Ribaltamento composto
Ribaltamento del cantonale
Flessione verticale
3.1 Ribaltamento semplice
Il meccanismo si manifesta attraverso la rotazione rigida di intere facciate o di porzioni di pareti rispetto ad assi orizzontali alla base di esse sollecitate da azioni fuori dal piano.
Figura 1- Ribaltamento di parete semplice
Questo meccanismo è provocato dall’assenza di vincoli in sommità e dall’assenza di vincolo con le pareti ortogonali.
3.2 Ribaltamento composto
Anche questo meccanismo si manifesta attraverso la rotazione rigida di una parete che trascina però una porzione della parete ortogonale ad essa
Figura 2- Ribaltamento di parete composto
In questo caso si ha sempre una mancanza di connessione tra la parete e l’orientamento, ma la connessione tra le pareti è efficace e inoltre la parete ortogonale a quella interessata dal meccanismo ha una scarsa tessitura.
3.3 Ribaltamento del cantonale
Il meccanismo si manifesta attraverso la rotazione rigida di un cuneo di distacco, delimitato da superfici di frattura ad andamento diagonale in pareti ortogonali tra esse.
Figura 3- Ribaltamento del cantonale
Questo tipo di meccanismo si manifesta in edifici che presentano spinte concentrate in testa ai cantonali dovute soprattutto ai carichi trasmessi dai puntoni dei tetti a padiglione.
3.4 Flessione Verticale
Quando si attiva questo meccanismo si forma una cerniera cilindrica orizzontale che divide la parete in due blocchi che ruotano reciprocamente intorno a questo asse.
Figura 4- Flessione orizzontale
Si può manifestare quando i due blocchi della parete che si vengono a creare sono ben ammorsati rispettivamente all’orizzontamento inferiore e a quello superiore, ma non sono ammorsati al solaio intermedio che crea un effetto di martellamento.
4. Applicazioni Pratiche
In questo paragrafo vedremo quando devono essere verificati questi meccanismi e come vengono calcolati con il software 3Muri. La verifica dei meccanismi locali va eseguita per garantire che la struttura abbia un comportamento scatolare, questo tipo di comportamento è una prerogativa per poter effettuare una analisi globale di tipo pushover. La normativa non indica un numero minimo di meccanismi da verificare, né quali meccanismi devono essere verificati. Il progettista deve scegliere i meccanismi da verificare in base alla configurazione della sua struttura e al quadro fessurativo della stessa.
4.1 Ribaltamento semplice della parete
Se nella struttura non sono presenti cordoli di collegamento, l’ammorsamento tra le pareti è di scarsa qualità, ed esistono delle spinte orizzontali non contrastate è probabile che questo meccanismo si attivi e quindi deve essere verificato.
In 3Muri per modellare il ribaltamento semplice della parete si deve definire un blocco cinematico, inserire una cerniera orizzontale ai piedi del bocco e si può calcolare il meccanismo.
Figura 5-ribaltamento parete 3Muri
Se l’accelerazione di attivazione del meccanismo è minore dell’accelerazione sismica la verifica non è soddisfatta perché il meccanismo si attiverebbe con una accelerazione inferiore a quella attesa per quel dato stato limite (fig.6)
Figura 6-verifica meccanismo locale
L’indice di vulnerabilità della struttura è fornito come il rapporto tra le accelerazioni: limite di innesco del meccanismo e richiesta dalla normativa.
Per migliorare il comportamento della struttura nei confronti del meccanismo, e raggiungere la verifica, è possibile modellare in 3Muri vari tipi rinforzi.
Una prima modellazione dei rinforzi può esser effettuata inserendo delle forze, concentrate in un punto o distribuite, che simulano l’effetto del rinforzo sul blocco cinematico.
Ad esempio, se noi inserissimo dei cordoli sulla nostra struttura potremmo applicare una forza stabilizzante orizzontale che simula l’azione delle armature del cordolo. Per successive iterazioni si ricerca la forza minima che verifica il meccanismo. Infine, sarà sufficiente verificare che la forza trovata non sia superiore a quella di snervamento delle armature.
L’intervento più comune per migliorare il comportamento della struttura ed evitare che si attivi un meccanismo locale è l’inserimento di catene, in corrispondenza dei solai, fornendo così un effetto stabilizzante alla struttura.
Per inserire una catena in 3Muri, si apre la finestra di definizione dei carichi, poi si seleziona l’opzione collegamento catena. Per definire l’elemento catena è necessario selezionare un nodo di riferimento, definire lo spostamento relativo rispetto al nodo, il tiro della catena e l’angolazione orizzontale e verticale della forza.
Figura 7- Inserimento catena
Dopo aver inserito la catena si procede nuovamente alla verifica del meccanismo locale (fig. 8).
Figura 8- verifica meccanismo con catena
Dopo aver applicato il carico della catena stabilizzante la verifica risulta essere soddisfatta, perché l’accelerazione di attivazione è pari 2,32 volte quella richiesta (affinché la verifica risulti soddisfatta il rapporto deve essere maggiore di 1).
Dopo aver appurato che la verifica del meccanismo è soddisfatta si possono dimensionare le catene e le piastre di ancoraggio, eseguendo contestualmente le verifiche di punzonamento, penetrazione e snervamento (fig.9).
Figura 9 – Dimensionamento catena
4.2 Ribaltamento semplice del timpano
Nel caso di una copertura con solai che hanno una rigidezza molto bassa si può definire il tetto come “non strutturale”. In quel caso gli elementi che costituiscono il tetto (ad esempio il timpano), non sono inseriti nella verifica globale. In questo caso si può rendere necessaria anche la verifica a ribaltamento del timpano come vediamo in fig. 6. Le procedure di inserimento del blocco cinematico e di verifica sono del tutto analoghe a quelle viste per la parete semplice. Si noti che il blocco cinematico può assumere qualsiasi forma poligonale chiusa con base orizzontale, per seguire il perimetro della struttura del tetto o comunque riprodurne il quadro fessurativo.
Figura 6-ribaltamento parete 3Muri
4.3 Ribaltamento composto
Se invece la parete non è connessa con l’orizzontamento, ma è ben ammorsata alle pareti ortogonali è opportuno verificare il meccanismo di ribaltamento composto.
In 3Muri vengono definiti 3 blocchi, quello della parete oggetto di esame e due blocchi diagonali sulle pareti ortogonali ad esso, in modo tale da simulare l’ammorsamento tra la parete oggetto del ribaltamento e le due pareti ortogonali. Infine, si inserisce una cerniera orizzontale al piede del blocco principale.
Figura 7-ribaltamento composto parete 3Muri
4.4 Ribaltamento del cantonale
Il meccanismo di ribaltamento del cantonale va verificato quando nella struttura è presente un tetto a padiglione, perché i puntoni del tetto hanno un effetto spingente sulle pareti.
In 3Muri si definiscono due blocchi diagonali e poi si posiziona una cerniera a 45°, cioè ortogonale alla direzione di spinta del cantonale.
Figura 8-ribaltamento cantonale 3Muri
4.5 Flessione verticale
In una struttura a più piani può capitare che gli ammorsamenti delle pareti agli orizzontamenti dei vari piani non sia sempre lo stesso, perché magari la struttura è stata costruita in epoche diverse, magari con tipologie costruttive differenti.
Il differente ammorsamento della parete ai vari livelli può provocare il meccanismo di flessione verticale.
Ipotizziamo di avere una struttura a due piani, la parete è ancorata in fondazione, mentre al piano in sommità è presente un cordolo di collegamento, mentre al piano intermedio il solaio non è ben ammorsato alla parete.
In questo caso sarebbe opportuno verificare anche il meccanismo di flessione verticale, perché il solaio intermedio potrebbe avere un effetto martellamento sulla parete e creare lo spanciamento della stessa.
In 3Muri per simulare questo meccanismo si definiscono due blocchi cinematici, si posizionano 2 cerniere, una interna e una esterna alla parete, ed infine un appoggio esterno in sommità al blocco superiore.
Figura 9-Flessione verticale
Naturalmente in una struttura in muratura si possono creare meccanismi con geometrie anche molto differenti; nel presente capitolo sono stati riportati gli schemi più frequenti ai quali è possibile riportare la maggior parte delle geometrie fessurative degli edifici oggetto di verifica.
https://stadata.com/wp-content/uploads/2024/10/img-cover.jpg9601440S.T.A. DATA srlhttps://stadata.com/wp-content/uploads/2023/10/logo-stadata.pngS.T.A. DATA srl2024-10-14 11:30:002024-07-30 17:19:04Meccanismi locali di collasso
Il miglioramento sismico di un edificio in muratura portante si ottiene verificando le analisi sismiche globali, le analisi statiche e le analisi dei cinematismi locali delle singole pareti, come specificato nella NTC2018. Il raggiungimento di tale livello di sicurezza sismica permette anche di accedere alle detrazioni del SismaBonus. Il software 3Muri Project analizza esegue le verifiche secondo la NTC e fornisce la valutazione della vulnerabilità sismica della struttura nello stato di fatto e di progetto.
Introduzione
Il progetto di miglioramento sismico di un edificio in muratura portante è illustrato cortesemente dallo Studio Tecnico Capellari Associati di Mirandola (MO) per S.T.A. DATA. L’edificio, oggetto di intervento, è un condominio ad uso residenziale composta da una serie di palazzine a schiera a sviluppo orizzontale in centro a Carpi (MO).
Come si vede nella fig.1, il fabbricato presenta 4 livelli intermedi fuori terra, un tetto in laterocemento a due falde con solo guaina di copertura. L’edificio è stato costruito negli anni sessanta del secolo scorso e per questo presenta delle vulnerabilità ai carichi verticali, sismici, vulnerabilità nel piano e fuori dal piano a causa delle murature snelle e delle aperture presenti in esse.
Fig. 1 Foto dei prospetti frontale e laterale del fabbricato analizzato
La struttura portante verticale è in muratura ed è costituita da blocchi pieni e di tipo doppio UNI, prevalentemente a due teste. Il progetto ha la finalità di garantire un miglioramento sismico dell’edificio nel rispetto della Normativa italiano NTC2018 e di accedere alle detrazioni fiscali previste nel Sismabonus.
1. Indagini conoscitive
Il rilievo geometrico e strutturale del fabbricato è stato eseguito dai tecnici dello Studio Capellari e da un laboratorio autorizzato. L’obiettivo dei saggi è quello di individuare le geometrie e le tipologie costruttive degli elementi portanti che costituiscono l’immobile.
Fig. 2 Rilievo geometrico strutturale del fabbricato
Sono state eseguite anche indagini distruttive in alcuni punti per rinvenire le caratteristiche delle armature che costituiscono alcune parti del fabbricato, come i solai in laterocemento e i pilastri a piano terra.
Le planimetrie, realizzate a seguito dai rilievi geometrici, mostrano che le piante piano tipo sono costituite da moduli abitativi ripetuti e, in particolare, costituiti da 2 moduli con un corpo scala centrale tra di essi.
I moduli affiancati sono disposti a scaletta, come mostrato in fig. 3. Ci sono 8 moduli in ogni livello. La planimetria è identica per i 3 livelli fuori terra del fabbricato mentre il livello a piano terra presenta una cantina e dei locali di servizio.
Fig. 3 Configurazione dei fabbricati e di testata della schiera
Si può osservare che, oltre ai muri perimetrali, ci sono i muri che contornano il vano scale e dei muri di spina centrale che al piano terra hanno spessore 40 cm mentre ai piani superiori hanno spessore 25 cm. I muri esterni hanno tutti uno spessore di 25 cm mentre i muri che abbordano la scala hanno uno spessore di 12-15 cm, ossia pari ad una testa di mattone.
2. Analisi di vulnerabilità
Si è realizzato il modello dello stato di fatto del fabbricato condominiale nel programma di calcolo strutturale degli edifici in muratura 3Muri Project, di S.T.A. DATA. Tutte le caratteristiche reali, ricavate
sperimentalmente dalle indagini in situ sul fabbricato, sono state inserite nel modello, come si mostra nella fig. 4. Sono state condotte le seguenti 3 tipologie di analisi del fabbricato assoggettato ai carichi verticali e sismici, nel rispetto della Normativa italiana NTC2018 e Circolare2019:
la verifica ai carichi sismici, eseguita con le 24 analisi statiche non lineari;
la verifica ai carichi verticali;
la verifica della parete singola a pressoflessione fuori dal piano.
Fig. 4 Modellazione dello stato di fatto del fabbricato condominiale in 3Muri Project
Chiaramente la forma del fabbricato, costituito da palazzine a schiera, definisce in pianta un lato più lungo in X rispetto al lato in Y e fa supporre che il fabbricato abbia una comportamento meccanico migliore in X. Le curve di capacità, ricavate dalle analisi globale pushover, mostrano, invece, che il fabbricato non ha una risposta migliore ai carichi sismici in direzione X.
Si osserva che, sul lato lungo sono presenti comunque delle vulnerabilità importanti sia perché le pareti sono incastrate sui pilastri del piano terra sia perché sono presenti numerose piccole aperture a piano terra non allineate con quelle dei piani superiori. La continuità dei maschi murari non è, quindi, presente e si
rileva un comportamento peggiore rispetto a quello nell’altra direzione.
Nella direzione Y si sono ottenuti dei risultati scadenti perché è il lato più corto della stringa e, poi, perché gli allineamenti hanno murature portanti con spessori pari a una testa di mattone dal piano terra in su.
Si nota che pochi maschi murari hanno continuità dal piano campagna al tetto.
Inoltre, i cordoli sono insufficienti per garantire la scatolarità e l’armatura presente nei solai e nei pilastri è scarsa.
I risultati ottenuti dalle analisi statiche non lineari sono i seguenti:
Dir. X: fattore di vulnerabilità pari a 0,27;
Dir. Y: fattore di vulnerabilità pari a 0,30.
L’analisi statica per i soli carichi verticali mostra che il fabbricato ha delle vulnerabilità in alcuni elementi interni per la presenza di muri snelli e definisce un fattore di sicurezza pari a 0,48.
La verifica della parete singola a pressoflessione fuori dal piano è superata per la maggior parte dei muri e solo in alcuni casi non è verificata perché indica un fattore di sicurezza pari a 0,87.
Fig. 5 Risultati delle analisi di calcolo strutturale condotto sul modello dello stato di fatto in 3Muri Project
3. Progetto di intervento di miglioramento sismico
Il progetto di intervento parte rispettando, innanzitutto, la prima prescrizione data per gli edifici abitati, ossia la prescrizione di limitare gli interventi all’interno dell’immobile e soprattutto all’interno delle parti abitate, che in questo caso riguardano tutti i tre livelli sopra il piano terra.
L’intervento progettato ha riguardato, quindi, solo le parti esterne del fabbricato.
I materiali considerati efficaci, ai fini del miglioramento sismico e statico, sono stati inseriti nel modello 3D, in 3Muri Project, sulle murature esterne nello stato di fatto.
Si è dimostrato alla Committenza che, ricollocando le aperture del piano terra in linea con quelle dei piani superiori si otteneva un comportamento migliore della muratura portante e tale intervento è stato concesso dato che non avrebbe recato pregiudizio alle attività condominiali.
Si mostra, nella fig. 6 in alto a sinistra, il prospetto della facciata frontale con l’intonaco armato e con le aperture al piano terra allineate con quelle superiori. Tutte le murature perimetrali sono state ricoperte con i materiali considerati efficaci.
In particolare, gli interventi progettati sono i seguenti:
posa dell’intonaco armato sui lati degli spazi comuni, come il piano terra;
posa di rinforzi in fibre FRCM bidirezionali sulle murature;
posa di rinforzi in fibre di acciaio in avvolgimento sui pilastri.
Nel dettaglio 01 della fig. 6, che richiama il prospetto Sud, si mostra che le finestre su questo prospetto sono molto ravvicinate e sono separate da un pilastrino in muratura che, nelle analisi, esibisce una crisi fragile.
Per evitare tale crisi è stato progettato l’intervento di rinforzo con calastrelli per setti in muratura.
Si è osservato, nel rilievo strutturale, che il solaio di copertura in laterocemento presenta i travetti senza la soletta e, quindi, si è progettato di inserire per ogni falda un controvento realizzato con un nastro forato all’estradosso.
Si è progettato di inserire, inoltre, delle fasce in fibra di acciaio a livello dei solai per inibire i meccanismi locali di natura fragile.
Fig. 6 Interventi di rinforzo inseriti nel modello dello stato di progetto in 3Muri Project
Tutti gli interventi descritti sono stati inseriti, studiati e verificati all’interno del software di calcolo strutturale, 3Muri Project, tramite le diverse finestre di dialogo dedicate agli interventi di rinforzo strutturale. La progettazione degli interventi è stata facilitata anche dalla presenza di ricche librerie di materiali specifici presenti in commercio. Si è inserita la fibra unidirezionale GEO STEEL 200 a livello dei solai, la fibra NHL 105 e le fibre con mesh 66 per l’intonaco armato diffuso.
Fig. 7 Software 3Muri Project – finestre di dialogo dedicate all’inserimento degli interventi di rinforzo strutturale negli elementi in muratura portante e nei solai
Inserendo manualmente alcuni parametri e avendo a disposizione, nelle librerie, gran parte delle caratteristiche dei materiali usati, i professionisti dello studio tecnico hanno modellato con oculatezza l’intervento di rinforzo verificando il miglioramento sismico e le proprietà dei muri rinforzati, senza ricorrere ad ulteriori strumenti.
Fig. 8 Tabelle dei risultati ottenuti in 3Muri Project
I miglioramenti delle verifiche globali, rilevate nel modello 3D di 3Muri Project, sono i seguenti:
Dir. X: fattore di vulnerabilità pari a 0,63 (aumento del 30%);
Dir. Y: fattore di vulnerabilità pari a 0,43 (aumento del 30%);
Carichi verticali: fattore di sicurezza pari a 0,66 (aumento del 15%);
Si mostrano, qui, solo le verifiche dei cinematismi locali ritenuti più significativi, ossia quelli generati da una parete senza cordolo sommitale e con cerniere diffuse alla base o in corrispondenza dei piani.
Chiaramente, la vulnerabilità ai meccanismi locali è stata modellata nella situazione limite, ossia considerando una parete senza cordoli in cui sono stato inserite le azioni del tiro delle catene di acciaio ipotizzate, G600.
In fig. 9 si mostrano, inoltre, i risultati delle verifiche per i meccanismi locali citati. Si osserva che la parete senza le catene mostra un cinematismo di ribaltamento e il risultato della verifica è in rosso perché non è soddisfatta.
Successivamente, inserendo le catene in acciaio con un tiro adeguato, la verifica dei meccanismi locali, ipotizzati dai progettisti, risulta verde perché soddisfa i criteri della Normativa.
Fig. 9 Immagini delle verifiche dei meccanismi locali di ribaltamento eseguite in 3Muri Project
4. Conclusioni finali
Si ritiene adeguato il livello di sicurezza verificato per questa tipologia di immobile con gli interventi studiati e realizzabili nel rispetto delle prescrizioni citate in precedenza. Inoltre, il miglioramento dei fattori di vulnerabilità ha permesso anche di accedere alle detrazioni fiscali del Sismabonus.
Si precisa che, in direzione Y, le pareti perimetrali, su cui si è potuto intervenire, sono solo due e, quindi, non si è potuto ottenere un aumento della resistenza in Y per l’intero fabbricato.
Per avere risultati più apprezzabili in tale direzione sarebbe auspicabile intervenire anche sulle pareti delle parti interne del condominio e, quindi, solo quando l’immobile sarà reso disponibile nella sua interezza.
Per maggiori informazioni il nostro Team è sempre a vostra disposizione al n. verde 800 236 245 oppure all’indirizzo comm@stadata.com.
3Muri Project X4 è un software di calcolo strutturale nato dal team di sviluppo di STA DATA, appositamente pensato come soluzione integrata e modulare per l’analisi delle strutture in murature e miste, sia dal punto di vista globale che locale.
Accanto al modulo principale, dedicato alla verifica globale della struttura, sono disponibili i seguenti moduli opzionali che completano il programma:
modulo Meccanismi locali consente questa verifica a partire dal modello utilizzato per la verifica globale realizzata con il modulo principale, qualora il comportamento scatolare non sia garantito per mancanza dei collegamenti tra solai e pareti;
modulo Analisi di sensibilità. Il calcolo delle strutture esistenti in muratura è particolarmente complesso a causa delle incertezze delle entità in gioco, come le rigidezze degli elementi, le resistenze, le geometrie. L’analisi di sensibilità ha come obiettivo una migliore conoscenza del comportamento strutturale attraverso l’individuazione dei parametri che maggiormente incidono nel calcolo, permettendo di focalizzare l’attenzione su questi dati;
modulo Fondazioni consente, a completamento delle verifiche delle strutture in elevazione, la verifica delle strutture di fondazione esaminando la distribuzione delle tensioni sul terreno. Il modulo Fondazioni, inoltre, permette l’esame della capacità portante e i cedimenti di fondazioni continue, il progetto di plinti di fondazione in c.a.
modulo Multithreading e solutore a matrici sparse che permette di utilizzare due differenti impostazioni di calcolo in merito al processore: la selezione del metodo di calcolo a matrici dense o matrici sparse e il multiprocessore. Il modulo multithreading permette di indirizzare ogni analisi su un differente processore del pc, con un notevole risparmio in termini di tempo.
modulo IFC consente l’importazione ed esportazione in formato IFC, per consentire l’interoperabilità tra progettisti differenti.
modulo SismoTest dedicato alla Classificazione sismica degli edifici, secondo il D.M. n. 65 del 7/3/2017.
https://stadata.com/wp-content/uploads/2023/11/wall-of-a-damaged-building-2021-12-09-05-11-33-utc.jpg9601440S.T.A. DATA srlhttps://stadata.com/wp-content/uploads/2023/10/logo-stadata.pngS.T.A. DATA srl2024-10-07 12:00:002024-07-30 16:56:52Intervento di miglioramento sismico di un edificio condominiale in muratura eseguito con Sismabonus
Gli interventi locali finalizzati al recupero di un edificio residenziale in muratura sono cortesemente illustrati dall’ing. Niccolò Setti per S.T.A. DATA.
Il progetto degli interventi è stato studiato con l’ausilio del software di calcolo strutturale 3Muri Project specializzato nella valutazione della vulnerabilità degli edifici in muratura portante.
L’ing. Niccolò Setti lavora nel Comune di Rolo, in provincia di Reggio Emilia, e si occupa di progettazione e consolidamento di edifici civili e industriali in muratura e calcestruzzo armato oltre al coordinamento della sicurezza nei cantieri edili.
1. Indagini conoscitive della costruzione e inquadramento dell’intervento
Il fabbricato esistente in muratura portante è isolato ed è sito nel Comune di Rolo in provincia di Reggio Emilia. Il Comune di Rolo è uno dei comuni colpiti dagli eventi sismici avvenuti in Emilia Romagna nel maggio del 2012 nella zona di Mirandola Finale Emilia.
L’edificio è stato realizzato in varie epoche. La prima porzione edificata, indicata con il retino tratteggiato in grigio, costituisce il corpo originario con le murature portanti in mattoni forati e presenta solai in laterocemento e una copertura in travi in c.a. di tipo Varese con tavelloni in laterizio.
Successivamente, è stato realizzato un nuovo corpo (in rosso in planimetria), in adiacenza al corpo originario, con pianta rettangolare a sviluppo planimetrico lungo l’asse X e con destinazione d’uso di autorimessa.
Infine, nel 2008 è stato realizzato un ampliamento (in verde in planimetria) della pianta del solaio di copertura dell’edificio rosso per creare degli ambienti nuovi sopra l’autorimessa.
Nella seguente immagine sono rappresentate le planimetrie dei 3 livelli dell’edificio: piano terra, piano primo e copertura. L’ampliamento si è, quindi, sviluppato in pianta lungo l’asse Y al primo livello e in elevazione fino alla copertura. Lo sviluppo planimetrico di questo nuovo corpo è ortogonale al corpo originario (in rosso). La sopraelevazione ha riguardato, quindi, solo il corpo a pianta rettangolare (in verde) sopra l’autorimessa.
Tale strategia di ampliamento della planimetria al piano primo e di sopraelevazione fino alla copertura ha permesso di aumentare gli spazi a servizio dell’unità residenziale. L’oggetto di studio riguarda il comportamento dell’intero fabbricato.
Le murature dell’autorimessa sono in mattoni semipieni e malta cementizia. Le pareti del nuovo corpo, su di essa, sono realizzate in muratura di Poroton. I solai di piano e la copertura a falde sono realizzati in laterocemento.
Come possiamo vedere dalle seguenti foto, il fabbricato presenta una forma irregolare in pianta e in elevazione. Inoltre, è evidente che, dal punto di vista architettonico, il corpo in adiacenza è stato realizzato con una tecnica costruttiva relativa ad un’epoca successiva rispetto a quella del corpo originario.
La forma complessiva dell’edificio intero e l’assenza di un giunto sismico tra le parti dei corpi in adiacenza ha permesso l’instaurarsi del fenomeno di martellamento. Un adeguato giunto sismico posto tra il corpo realizzato in ampliamento e il corpo originario avrebbe evitato tale fenomeno e la generazione delle lesioni da sisma, che si evidenziano nella seguente immagine.
Questa lesione verticale si è sviluppata dal livello della copertura fino al primo impalcato, proprio per l’assenza totale di collegamenti adeguati o di elementi di ritegno tra il corpo originario e il corpo realizzato successivamente.
L’attenzione del progettista, quindi, si è concentrata principalmente sull’obiettivo di annullare queste criticità e di cercare altre possibili vulnerabilità presenti su questo corpo realizzato in epoca successiva.
2. Modellazione numerica e studio delle vulnerabilità con 3Muri Project
Inizialmente, il progettista ha raccolto e catalogato tutte le caratteristiche principali dei materiali costituenti i corpi dell’edificio.
A seguito delle indagini geologiche si è evidenziata la presenza di un fattore di amplificazione pari a 1,7 per il sito in cui sorge la costruzione. Tale valore è stato confermato anche dalle carte di microzonazione sismica dell’Emilia Romagna. Ricavato il quadro dei parametri sismici di Rolo, tutti i dati citati sono stati inseriti all’interno della modellazione svolta con il software 3Muri Project al fine di poter valutare l’incremento dei carichi agenti sulla struttura e la vulnerabilità dell’edificio.
Si riassumono le criticità del fabbricato nella seguente immagine:
Il modello realizzato con 3Muri presenta tutte le irregolarità citate in pianta ed in altezza.
Al piano terra, il corpo in adiacenza presenta irregolarità in pianta perché la zona in ampliamento è realizzata con un porticato di pilastri isolati. L’ultimo livello, della nuova costruzione, presenta una copertura con trave di colmo ortogonale all’edificio originario.
I fenomeni di martellamento sono diffusi e in corrispondenza delle zone di contatto tra i due corpi, ossia tra le murature del fabbricato realizzato in ampliamento e quelle del fabbricato originario.
Il martellamento è generato sia dall’assenza di un giunto sismico, capace di attutire le pressioni di questi elementi spingenti, sia dall’assenza di scatolarità. L’edificio non presenta scatolarità perché sono assenti elementi che conferiscono il comportamento scatolare al fabbricato.
Le criticità evidenziate, l’assenza di scatolarità e la presenza di una copertura in laterocemento spingente sulle pareti espongono l’edificio anche alla possibilità di generare il meccanismo di ribaltamento fuori piano.
3. Analisi dei meccanismi locali con 3Muri Project
Il progettista ha usato il modulo verifica dei meccanismi locali presente in 3Muri per effettuare tali analisi. Il primo step è stato quello di analizzare i meccanismi di ribaltamento delle pareti fuori piano, come si osserva nella seguente immagine:
È possibile osservare i possibili fenomeni di sviluppo di meccanismi di corpo rigido. Il coefficiente di sicurezza, dato dal rapporto 𝑃𝐺𝐴𝐶 ⁄ 𝑃𝐺𝐴𝐷 tra la capacità e la domanda negli stati limite di salvaguardia della vita, risulta molto basso.
Il progettista ha studiato in due step il meccanismo di ribaltamento della facciata nord ottenendo dei coefficienti di sicurezza pressoché intorno a 0,26 e 0,30. Lo studio ha proseguito con l’analisi dei meccanismi di ribaltamento delle due pareti poste ad Est e Ovest della costruzione.
Anche in questi casi i valori del coefficiente di sicurezza sono molto bassi ed entrambi pari circa a 0,40. Tale valore è dovuto principalmente proprio alla presenza della copertura spingente su tali porzioni di muratura.
4. Progetto degli interventi
Per ovviare a questa vulnerabilità riscontrata, il progettista ha deciso di inserire in corrispondenza dell’ultimo impalcato, ovvero nel livello del sottotetto, un intervento locale realizzato con una serie di tiranti metallici con le relative contropiastre, come si mostra nella seguente immagine:
Con il software “Collegamento Catena”, implementato all’interno di 3Muri, il progettista ha svolto le verifiche dei tiranti progettando il diametro migliore e il tiro corretto per ognuno di essi. Tale intervento è stato poi è inserito all’interno della modellazione in 3Muri.
Come si osserva a destra dell’immagine precedente, il software ha mostrato graficamente proprio il posizionamento dei tiranti con le piastre di ancoraggio e ha visualizzatole la tabella con le relative proprietà geometriche e meccaniche.
Questo intervento locale si è reso necessario anche perché si integra meglio con la scelta di eseguire successivamente anche l’intervento di isolamento termico a cappotto esterno su tutta la struttura, come indicato dal progettista architettonico.
Prima di creare il guscio isolante sulla struttura si è deciso, quindi, di inserire questa serie di interventi locali per evitare, in fase successiva, di eseguire interventi sul cappotto esterno già installato.
Scelto il tiro delle catene, la misura delle relative contropiastre e la tipologia di acciaio, il progettista ha eseguito la verifica allo stato di ultimo SLV sul modello di 3Muri con tali catene inserite nel progetto.
Successivamente, tramite il modulo “Meccanismi Locali”, presente in 3Muri, ha eseguito le verifiche di tali meccanismi e ha ottenuto i coefficienti di sicurezza tutti superiori all’unità, come si può osservare nelle seguenti immagini.
La tabella dei risultati mostra tutti i coefficienti di sicurezza superiori all’unità per i meccanismi locali delle pareti Nord-Sud
La tabella dei risultati mostra tutti i coefficienti di sicurezza superiori all’unità per i meccanismi locali delle pareti Est-Ovest
In base ai risultati ottenuti dalle verifiche, il progettista ha ritenuto, quindi, che l’intervento locale, di inserimento delle catene, abbia sortito i risultati desiderati.
Il progettista ha, inoltre, deciso di aggiungere un secondo intervento strutturale realizzato con l’inserimento un telaio in c.a. Tale intervento è finalizzato alla creazione di un comportamento scatolare tra le parti del corpo in adiacenza e per creare un giunto sismico che contrasti la generazione del fenomeno di martellamento.
5. Dimensionamento degli elementi del telaio in c.a. con il software AxisVM
A seguito della modellazione e della verifica eseguita all’interno di 3Muri, si è importato il modello completo con tutti gli interventi all’interno di AxisVM.
Il progettista ha sfruttato l’interoperabilità tra i due software e ha importato in AxisVM il modello strutturale in muratura portante con telaio in c.a. con il fine di effettuare il dimensionamento guidato degli elementi in cemento armato. Infatti, tramite l’importazione da 3Muri, il modello presenta tutte le sollecitazioni derivate dai carichi agenti sull’intera struttura.
Il telaio in cemento armato è monodirezionale ed è inserito parallelamente all’edificio originario proprio per conferire il comportamento scatolare ricercato e per realizzare, soprattutto, un giunto sismico di separazione. Tale giunto sismico divide strutturalmente i due corpi e, quindi, crea due unità strutturali separate.
Nella figura a destra il progettista visualizza solo il telaio in c.a. attraverso la modalità filtro di AxisVM. Si evidenziano, in questo modo, solo gli elementi in calcestruzzo armato e si valutano le deformate modali del telaio incastrato alla base.
AxisVM prosegue ricavando le sollecitazioni agenti sugli elementi strutturali di travi e pilastri e si conclude con la progettazione di tali elementi fino alla fondazione.
Il progettista mostra le sollecitazioni del telaio in c.a. dovute ai carichi derivanti dall’intero modello. Si evidenziano, con diversi retini, le geometrie degli elementi strutturali analizzati.
A seguito della determinazione delle sollecitazioni agenti sugli elementi strutturali in cemento armato, si sono studiate le geometrie di progetto e si è provveduto alla corretta definizione delle armature.
Le travi di piano presentano un’armatura pari a 3 + 3 Φ14 inferiori e superiori e una staffatura di diametro Φ10 con passo 5 cm per i primi 30 cm mentre Φ10 con passo 10 cm in campata. L’infittimento delle staffe è realizzato solo in corrispondenza delle zone critiche. Le travi della copertura sono state armate anch’esse con 3 + 3 Φ14 con un infittimento ulteriore di 3 Φ16 inferiori e 3 Φ14 superiori per poter verificare il giunto di collegamento tra la porzione di trave esistente della copertura e quelle nuove realizzate nell’intervento.
I pilastri perimetrali sono stati dimensionati con geometria quadrata di lato 30 cm e sono armati con 8 Φ16. Il pilastro centrale ha pianta rettangolare, con dimensioni 45 cm X 30 cm, ed è armato con 10 Φ22.
Tale pilastro ha un incremento dell’infittimento del passo delle staffe in corrispondenza dei nodi e delle zone critiche, come si può notare nell’immagine della distinta delle armature per i pilastri P3 -P4 – P5. Dopo aver dimensionato gli elementi in elevazione, si sono calcolate le sollecitazioni agenti sulla fondazione in c.a.
Nella seguente immagine si riportano, in ordine da sinistra a destra, i diagrammi delle sollecitazioni di momento flettente Mx, del taglio Vy, momento My e momento Mz.
Tali diagrammi derivano dalle combinazioni dei carichi agenti sul telaio. Nella tabella si elencano tutti i valori delle grandezze necessarie per la verifica a taglio della trave di fondazione agli appoggi: 𝑉𝑅𝑑 > 𝑉𝐸𝑑.
La disuguaglianza risulta verificata con un preciso quantitativo di armatura.
La trave di fondazione è stata dimensionata con sezione rettangolare, di dimensioni 100 cm X 30 cm. Come si osserva nella Sezione X-X, la trave è eccentrica rispetto alle strutture in elevazione ed è posta ad una distanza pari al valore del giunto sismico. La nuova fondazione ha questa posizione eccentrica rispetto al pilastro per mantenere una certa distanza tra le murature dei corpi, originario e nuovo, e tra la fondazione esistente e la nuova.
L’armatura longitudinale è costituita da 5 + 5 Φ20 inferiori e superiori. La staffatura ha 4 bracci e un passo di 10 cm per i primi 30 cm dagli appoggi e un passo di 20 cm in campata.
È stata verificata a momento positivo e negativo nel rispetto dei quantitativi minimi di armatura per le staffe e per le armature longitudinali, in accordo con quanto indicato e richiesto dai capitoli
4.1.6.1.1 e 7.4.6.2.1 della normativa tecnica delle costruzioni.
6. Progetto del giunto sismico
Si è analizzato e studiato il progetto del giunto sismico finalizzato a evitare i fenomeni di martellamento dei due corpi.
Il giunto sismico è stato calcolato attraverso un’analisi dinamica lineare eseguita sull’intera struttura e, quindi, anche sul telaio in calcestruzzo armato. Si è calcolato il valore dello spostamento massimo per l’edificio 1, che è l’edificio completo degli interventi oggetto di studio, e l’edificio 2, che l’edificio originario non calcolato.
Per gli edifici 1 e 2 , lo spostamento massimo è stato ricavato in corrispondenza del punto sommitale di possibile contatto tra i due corpi, in accordo con quanto indicato al paragrafo 7.2.1 della normativa tecnica delle costruzioni.
Ottenuti i valori degli spostamenti, per l’edificio modellato e calcolato e per l’edificio non calcolato, si è provveduto alla determinazione delle dimensioni del giunto sismico di progetto, al fine di determinare la distanza da mantenere tra i due corpi strutturali.
Il progettista mostra la tabella dei risultati degli spostamenti ottenuti per ogni nodo del telaio.
Nella tabella riassuntiva si mostra che, per un fattore di comportamento scelto pari ad 1.5, si sono sommati i valori degli spostamenti richiesti per l’edificio esistente calcolato e per l’edificio esistente non calcolato.
Per l’edificio esistente calcolato, lo spostamento risulta essere pari a 9,9 cm mentre per l’edificio non calcolato, in corrispondenza del punto sommitale di possibile contatto tra i due corpi per un’altezza dell’edificio di 7.50 m, si è ottenuto uno spostamento pari a 1,50 cm circa.
Si è dimensionato il valore del giunto sismico, previsto in progetto, pari a 12,5 cm.
Tale valore è superiore al valore di 11,44 cm ottenuto sommando gli spostamenti ottenuti per l’edificio calcolato e modellato con gli spostamenti dell’edificio non modellato.
7. Aspetti normativi e fiscali del progetto di intervento con il SUPRSISMABONUS 110%
Infine, il progettista spiega che per tali interventi locali ha potuto utilizzare anche il SUPERSISMABONUS 110% L. 77/2020 compilando, come indicato, l’Allegato B.
8. Conclusioni
Questa serie di interventi progettati sono di tipo locale poiché sono effettuati su porzioni limitate della struttura e hanno l’obiettivo di eliminare le possibili vulnerabilità evidenziate in 3Muri Project, come lo sviluppo dei meccanismi di ribaltamento delle pareti.
L’intervento di installazione di catene metalliche, progettato con il modulo “Collegamento Catena” è finalizzato alla creazione di una serie di meccanismi di tipo duttile.
L’intervento di inserimento nella muratura di un telaio in calcestruzzo armato, progettato con l’ausilio di AxisVM, è finalizzato sia all’inserimento di un giunto sismico sia al rafforzamento di quelle possibili porzioni di muratura che presentano delle vulnerabilità.
Per la realizzazione del giunto sismico è stata fondamentale l’analisi dinamica lineare e il dimensionamento curato della fondazione alla base del telaio in calcestruzzo armato.
Infine, grazie all’ausilio di 3Muri Project è stato possibile verificare il miglioramento della vulnerabilità sismica ottenuto con tali interventi strutturali e dimostrare di aver conferito alla struttura il comportamento scatolare cercato.
S.T.A. DATA ringrazia per la cortese attenzione e ricorda che per qualsiasi tipo di richiesta sui software usati è sempre disponibile la consulenza al numero verde 800 236 245.
https://stadata.com/wp-content/uploads/2023/11/cropped-view-of-the-building-after-the-earthquake-2022-07-12-14-49-11-utc.jpg9601440S.T.A. DATA srlhttps://stadata.com/wp-content/uploads/2023/10/logo-stadata.pngS.T.A. DATA srl2024-09-30 11:00:002024-07-30 16:56:20Interventi locali per un fabbricato esistente in muratura ad uso residenziale: inserimento tiranti metallici e telaio in c.a.
Ing. Adriano Castagnone – Responsabile scientifico S.T.A. DATA srl
Le Norme Tecniche per le Costruzioni (DM 2018) – Capitolo 7) hanno confermato le diverse metodologie di calcolo già previste nelle norme precedenti (DM 2008) e sintetizzate nello schema seguente.
Di seguito si riporta un’analisi ragionata delle diverse metodologie, trascurando l’Analisi Lineare Statica e l’Analisi Dinamica Modale di scarsa rilevanza in quanto non sono in grado di cogliere l’aspetto non lineare delle strutture in muratura.
La scarsa resistenza a trazione è infatti l’elemento caratterizzante la muratura. Non considerare questo aspetto, salvo rare eccezioni, significa realizzare modelli che non sono in grado di cogliere il reale comportamento strutturale.
1. Confronto metodo FME (FRAME BY MACROELEMETS) con metodo FEM
1.1 Il metodo FME (frame by MACROELEMENTS)
La Norma fornisce alcune considerazioni generali sulle modalità di modellazione delle strutture con la finalità dell’analisi sismica globale.
Per gli edifici in muratura ordinaria e armata vengono inoltre precisate alcune parti- colarità e suggeriti i relativi concetti per la loro modellazione.
Il modello di riferimento è quello a telaio equivalente tridimensionale, in cui le pareti sono interconnesse da diaframmi orizzontali di piano (solai).
Nello specifico degli edifici in muratura, la parete potrà essere adeguatamente schematizzata come telaio, in cui vengono assemblati gli elementi resistenti (maschi e fasce) ed i nodi rigidi.
Le travi di accoppiamento in muratura ordinaria, o fasce, saranno modellate solo se il progettista le riterrà adeguatamente ammorsate alle pareti.
Dividendo la parete in tratti verticali corrispondenti ai vari piani e nota l’ubicazione delle aperture, vengono automaticamente determinate le porzioni di muratura, maschi murari e fasce di piano in cui si concentrano deformabilità e danneggiamento (come è verificabile dalle osservazioni dei danni da sismi reali, da simulazioni speri- mentali e numeriche).
Quindi maschi e fasce sono modellate con i macroelementi finiti bidimensionali, rappresentativi di pannelli murari, a due nodi con tre gradi di libertà per nodo (ux, uz, roty).
Le restanti porzioni di parete vengono dunque considerate come nodi rigidi bidimensionali di dimensioni finite, a cui sono connessi i macroelementi; questi ultimi trasmettono, ad ognuno dei nodi incidenti, le azioni lungo i tre gradi di libertà del piano.
Nella descrizione di una singola parete i nodi sono individuati da una coppia di coordinate (x,z) nel piano della parete; i gradi di libertà di cui disporranno saranno unicamente ux, uz, roty (nodi bidimensionali).
Grazie a questa suddivisione in nodi ed elementi, il modello della parete diviene quindi del tutto assimilabile a quello di un telaio piano.
La modellazione strutturale richiede inoltre la possibilità di inserire travi, individuate nel piano dalla posizione dei due nodi di estremità.
Oltre alla presenza di vere e proprie travi (architravi o cordoli in c.a.) il modello prevede la presenza di dispositivi catena: queste strutture metalliche, sono sprovviste di rigidezza flessionale e perdono ogni efficacia nel caso divengano compresse. Questa loro peculiarità comporta un ulteriore elemento di non linearità nel modello.
La Norma ha, tra i suoi presupposti, il carattere prestazionale: le indicazioni sulle modalità di modellazione e verifica degli elementi costituiscono un riferimento per un’affidabile modellazione non lineare.
La Norma richiede la formulazione di meccanismi che considerino sia la risposta flessionale, sia la risposta a taglio: il meccanismo di pressoflessione è affrontato, in modo rigoroso, considerando l’effettiva ridistribuzione delle compressioni dovute sia alla parzializzazione della sezione, sia al raggiungimento della resistenza massima a compressione. Lo spostamento ultimo associato al meccanismo di pressoflessione è determinato sulla base del valore massimo di drift previsto per questo meccanismo: 0.6%.
Il meccanismo di taglio, descritto secondo il legame sviluppato da Gambarotta-Lagomarsino, riesce a cogliere il progressivo degrado di resistenza e rigidezza dell’elemento, attraverso le grandezze descrittive del danneggiamento.
La deformazione ultima a taglio è determinata sulla base del valore massimo di drift previsto dalla normativa: 0.4%.
La struttura risulta modellata dall’assemblaggio di strutture piane: le pareti e gli orizzontamenti, entrambi privi di rigidezza flessionale fuori dal piano.
Il modello realizzato mette in luce il comportamento spaziale della struttura. Per questo masse e rigidezze sono distribuite su tutti i gradi di libertà tridimensionali tenendo conto però, localmente, dei soli g.d.l. nel piano (nodi bidimensionali).
I nodi di connessione, appartenenti ad una sola parete, mantengono i propri gradi di libertà nel piano di riferimento locale, mentre i nodi che appartengono a più pareti (localizzati nelle incidenze di queste ultime) debbono necessariamente disporre di gradi di libertà nel riferimento globale (nodi tridimensionali).
Previsioni di intervento
Grazie a questa tecnica di modellazione si possono individuare i punti di debolezza strutturale mediante una mappatura colorata (ad ogni colore è associato un livello di degrado localizzato).
Si riportano di seguito alcune immagini ottenute dall’analisi di strutture in muratura con il software 3Muri®.
Il degrado strutturale di ogni singola parete, come conseguenza del progressivo caricamento della struttura è evidenziato mediante mappe di danneggiamento riportate sulle pareti.
La figura sopra riporta le scale di colore che individuano i diversi gradi di danneggiamento dei vari elementi strutturali (pareti, pilastri, cordoli, travi, setti) secondo le varie gradazioni raggiunte.
Le figure seguenti riportano i diversi stadi di degrado della struttura in funzione del livello di carico raggiunto.
1° Stadio della struttura
2° Stadio della struttura
3° Stadio della struttura
Grazie a questo strumento è possibile individuare i punti in cui intervenire per risol- vere le carenze riscontrate.
Strutture miste
Elemento caratterizzante di tale modellazione è la possibilità di esaminare strutture in muratura miste, in cui la presenza del c.a., legno, acciaio forniscono un notevole contributo alla resistenza della struttura.
Una tecnica, particolarmente usata per le strutture nuove in muratura, consiste nel realizzare le pareti di confine in muratura portante e inserire telai in c.a. all’interno dell’edificio da realizzare.
In questo modo si possono utilizzare
Sebbene la resistenza degli elementi strutturali in c.a. sia quasi sempre maggiore di quella degli elementi murari, tale procedura di calcolo permette di monitorare le se- quenze di rottura dei vari elementi indipendentemente dalla tipologia strutturale e dal materiale a cui appartengono andandoli ad escludere dal contributo alla resi- stenza complessiva quando si rompono.
Modellazione 3D di una struttura mista con telai interni
Modellazione 3D di una struttura mista con tetto in c.a.
Sintesi delle caratteristiche del metodo FME adottato da 3Muri®
Modellazione a telaio equivalente con tutte le specifiche richieste da normativa
Gli elementi del modello, maschi e fasce, consentono il calcolo diretto delle sollecitazioni per confrontarle con i valori limite forniti dalla normativa.
Presa in esame di strutture miste (muratura, trave, pilastri, setti in c.a., acciaio e legno) con comportamento non lineare di tutti gli elementi.
La modellazione delle pareti a telaio equivalente permette di realizzare l’assemblaggio spaziale delle pareti, collegandole tramite elementi deformabili per la simulazione dell’effettiva rigidezza dei solai.
Lettura dei risultati semplice ed intuitiva: possono essere individuate le cause di danneggiamento locale e globale per taglio o presso-flessione potendo intervenire efficacemente per consolidare la struttura.
La notevole velocità di calcolo non lineare è poco sensibile alla dimensione del modello.
1.2 Il Metodo FEM (Metodo elementi finiti)
Un edificio in muratura può essere analizzato discretizzando le pareti mediante elementi finiti di superficie con programmi FEM classici.
A causa di questo, l’analisi è tanto più significativa quanto maggiore è il grado di dettaglio della mesh, quindi risulta “mesh dependent” e fortemente condizionata dalle operazioni di definizione del modello.
Questa analisi risulta decisamente più onerosa in termini computazionali ed è solo realizzabile con programmi di calcolo automatico.
Nel caso in cui venga considerata una legge costitutiva non lineare del materiale, il metodo può prendere in esame il corretto degrado della muratura, riducendo la resistenza degli elementi danneggiati.
La definizione dei parametri richiede una accurata conoscenza del materiale murario ad un livello di dettaglio non esplicitamente contemplato nelle normative la cui valutazione si può ricavare solo attraverso accurate analisi sperimentali.
La mancanza di questi parametri o la loro non corretta valutazione, equivale ad ottenere, come risultato di un’analisi statica non lineare, una curva “pushover” che non prende in esame il tratto discendente che si forma a causa del danneggiamento strutturale.
La norma invece definisce il valore ultimo in corrispondenza al decadimento del taglio del 20% rispetto al valore massimo.
Non è quindi possibile definire il collasso, in accordo a quanto richiesto dalla Norma.
Curva pushover con decadimento del taglio del 20% rispetto al valore massimo
I risultati di analisi di questo tipo forniscono mappe che mettono in luce il livello tensionale localizzato della muratura.
Il valore puntuale di tensione superiore al valore limite non rappresenta la rottura del pannello murario.
I criteri di resistenza per gli elementi murari dipendono infatti da valori delle caratteristiche di sollecitazione che non hanno una corrispondenza diretta con lo stato tensionale, considerando quindi non gli effetti puntuali delle tensioni, ma anche possibili ridistribuzioni dovute al comportamento non lineare ed al degrado.
Per eseguire un’analisi corretta e coerente, è quindi necessario rielaborare i risultati della modellazione, tramite operazioni di media ed integrazione.
Risultati della modellazione, tramite operazioni di media ed integrazione
Sintesi caratteristiche del metodo FEM
Dipendenza dell’analisi dalla mesh (mesh dependent) e tempo di calcolo fortemente dipendente dalle dimensioni del modello; per grandi modelli il tempo di calcolo può essere notevole.
Definizione puntuale delle leggi costitutive del materiale di difficile reperimento
La Norma non contiene tutti i parametri necessari a definire il comportamento non lineare ed il degrado, senza i cui valori non è possibile applicare coerentemente i criteri di resistenza ed i limiti di spostamento associati al decadimento della resistenza globale della curva di capacità.
Per l’applicazione dei criteri di resistenza a taglio e pressoflessione alla muratura è necessario integrare gli effetti nodali sui singoli elementi murari, almeno a con- trollo e verifica di quanto ottenuto con il modello costitutivo non lineare.
La Norma, infatti, non presenta riferimenti espliciti a modellazione dei pannelli mediante discretizzazione in elementi di superficie ma propone una modellazione a
telaio equivalente con maschi, travi in muratura ed eventuali altri elementi strutturali in c.a. ed acciaio.
1.3 Confronto metodo FME e FEM
Si riassumono le problematiche dell’analisi agli elementi finiti rispetto al modello a macroelementi.
Tempi di calcolo rilevanti dovuti ad un consistente onere computazionale.
La Norma fa esplicito riferimento ai modelli a telaio equivalente, sia quando tratta dei metodi di analisi (8.1.5), sia quando precisa come eseguire le verifiche (8.1.6 e 8.2.2). Si parla infatti sempre di elementi murari o strutturali.
Nella Norma le verifiche sono eseguite in termini di caratteristiche di sollecitazione (N, T e M) e non di tensione puntuale nella muratura: una analisi ad elementi finiti richiede la successiva integrazione su tutto l’elemento murario poiché i criteri di resistenza forniti dalla normativa sono espressi in termini globali per il pannello.
Un’analisi di dettaglio, come quella ad elementi finiti, richiede legami costitutivi puntuali definiti da un numero di parametri maggiore di quelli forniti dalla Norma che il progettista si trova a dover definire in modo arbitrario o mediante accurate analisi sperimentali.
Anche la lettura finale dei risultati dell’analisi può non essere agevole o univoca, nel caso dei metodi agli elementi finiti, e richiede notevole esperienza e competenza specifica.
Da quanto fino ad ora detto emerge come sia complesso effettuare una verifica con un modello FEM continuo, rispettando le indicazioni della Norma.
Per le difficoltà che pone, tale strategia di modellazione è indicata per analisi specialistiche di strutture particolari o monumentali (chiese, torri, ponti in muratura), ma non adeguata a rispondere alle esigenze correnti, di accuratezza, velocità e semplicità di lettura dei risultati, proprie della pratica ingegneristica.
2. Bibliografia
Abrams D.P.,1996, Effects of scale and loading rate with tests of concrete and ma- sonry structures, Earthquake Spectra,12,1.
Abrams D.P.,1997, Response of unreinforced masonry buildings, Journal of Ear- thquake Engineering,1,1.
Abrams D.P., Calvi G.M. (eds.), 1994, Proc. of the US-Italy workshop on Guidelines for seismic evaluation and rehabilitation of unreinforced masonry buildings, Techni- cal Report NCEER-94-0021, Pavia.
Abrams D.P., Costley A.C., 1995, Dynamic response of unreinforced masonry buil- dings with flexible diaphragms, NCEER Technical Report, Urbana-Champaign.
Anthoine A., Magonette G., Magenes G., 1995, Shear compression testing and ana- lysis of brick masonry walls, Proc. of the 10th European Conference on Earthquake Engineering, Vienna.
Benedetti D., Carydis P., Pezzoli P., 1998, Shaking table tests on 24 simple masonry buildings, Earthquake Engineering and Structural Dynamics, 27, 1.
Braga F., Dolce M., 1982, Un metodo per l’analisi di edifici multipiano in muratura antisismici, Proc. 6th I.B.Ma.C., Roma.
Braga F., Liberatore D., 1991, Modeling of seismic behaviour of masonry buildings, Proc. 9th I.B.Ma.C., Berlino.
Brencich A., Lagomarsino S., 1997, Un modello a macroelementi per l’analisi ciclica di pareti murarie, Atti dell’8° Convegno Nazionale ANIDIS, Taormina.
Brencich A., Penna A., 1999, Una procedura a macroelementi per l’analisi sismica di pareti in muratura con orizzontamenti in cemento armato, Atti del 9° Convegno Na- zionale ANIDIS, Torino.
Cattari S., Curti E., Galasco A. , Resemini S., 2005, “Analisi sismica lineare e non li- neare degli edifici in muratura: teoria ed esempi di applicazione secondo OPCM 3274/2003 e 3431/2005”, E100 – collana Edilizia-Progettare e costruire, Esselibri- Simone Editore, Napoli, pp.176, ISBN 88-513-0305-3.
Clough R.W., Penzien J., 1993, Dynamics of structures, McGraw-Hill, New York.
Costley A.C., Abrams D.P., 1995, Dynamic response of unreinforced masonry buil- dings with flexible diaphrams, NCEER Technical Report, Urbana-Champaign.
Dadovici V., Benedetti D., 1994, Proc. of the Italian-French symposium on Streng- thening and repair of structures in seismic areas, Nizza.
Faccioli E., Pessina V. (eds.), 1999, The Catania Project – Earthquake damage sce- narios for a high risk area in the Mediterranean, CNR-GNDT, Roma.
Faccioli E., Pessina V., Calvi G. M., Borzi B., 1999, A study on damage scenario for residential buildings in Catania city, Journal of Seismology, 3, 3.
Galasco A., Lagomarsino S., Penna A., 2001, Analisi sismica a macroelementi di edi- fici in muratura, Atti del 10° Convegno Nazionale ANIDIS, Potenza e Matera.
Gambarotta L., Lagomarsino S., 1996, Sulla risposta dinamica di pareti in muratura, in Gambarotta L. (ed.) La meccanica delle murature tra teoria e progetto, Atti del Convegno Nazionale, Messina.
Galasco A., 2001, Analisi a collasso e risposta dinamica di pareti in muratura sog- gette ad azione sismica, Tesi di Laurea, Università di Genova.
Galasco A., Lagomarsino, S. and Penna, A., 2002, TREMURI Program: Seismic Ana- lyser of 3D Masonry Buildings, University of Genoa.
Galasco A., Lagomarsino S., Penna A., Resemini S., 2004, Non-linear Seismic Analy- sis of Masonry Structures, Proc. 13th World Conference on Earthquake Engineering, 1-6 Agosto 2004, Vancouver.
Galasco A., Lagomarsino S., Penna A., Nicoletti M., Lamonaca G., Nicoletti M.e Spina D., Margheriti C., Salcuni A., 2005, Identificazione ed analisi non lineare degli edifici in muratura dell’Osservatorio Sismico delle Strutture, Atti XI Convegno Nazio- nale “L’ingegneria sismica in Italia”, Atti su cd, pp.14, Genova 25-29 gennaio 2004.
Gambarotta L., Lagomarsino S., 1997a, Damage models for the seismic response of brick masonry shear walls. Part I: the mortar joint model and its applications, Ear- thquake Engineering and Structural Dynamics, 26.
Gambarotta L., Lagomarsino S., 1997b, Damage models for the seismic response of brick masonry shear walls. Part II: the continuum model and its applications, Ear- thquake Engineering and Structural Dynamics, 26.
Giuffré A. (ed.), 1993, Sicurezza e conservazione dei centri storici in zona sismica. Il caso di Ortigia, Laterza, Bari.
Magenes G., Kingsley G.R., Calvi G.M., 1995, Static testing of a full scale, two-story masonry building: test procedure and measured experimental response, in Experi- mental and numerical investigation on a bric
Magenes G., 2001, Considerazioni sulla modellazione della risposta di elementi mu- rari e di pareti ad azioni nel piano in Magenes et al. (eds.), Metodi semplificati per l’analisi sismica non lineare di edifici in muratura, CNR-GNDT, Roma
Paulay T., 2001, Some design principles relevant to torsional phenomena in ductile buildings, Journal of Earthquake Engineering, 5, 3.
Petrini L., Pinho R., Calvi G.M., 2004, Criteri di progettazione Antisismica degli Edi- fici, IUSS Press, Pavia.
Tomazevic M., 1978, Computation of the shear resistance of masonry buildings, in The seismic resistance of masonry buildings, Report, 1, ZRMK, Lubiana.
Tomazevic M., Weiss P., 1990, A rational, experimentally based method for the veri- fication of earthquake resistance of masonry buildings, Proc. 4th U.S. National Con- ference on Earthquake Engineering, Palm Springs.
Turnsek V. e Cacovic F., 1971. Some experimetal results on the strength of brick masonry walls, Proc. of the 2nd I.B.M.A.C. Int. Conference, Stoke on Trent.
https://stadata.com/wp-content/uploads/2024/09/img-cover-1.jpg9601440S.T.A. DATA srlhttps://stadata.com/wp-content/uploads/2023/10/logo-stadata.pngS.T.A. DATA srl2024-09-23 11:00:002024-07-31 11:18:13I metodi di calcolo per le strutture nuove in muratura
Il progetto del recupero di un sottotetto di un edificio condominiale è illustrato, cortesemente per S.T.A. DATA, dall’ing. Matteo Stanzani. L’intervento è stato studiato con l’ausilio dei software di calcolo strutturale 3Muri Project ed AxisVM. Per le verifiche dei nodi in acciaio è stato usato il software SAITU di S.T.A. DATA.
Lo Studio Tecnico Stanzani è situato nel Comune di Valdilana, in provincia di Biella, e l’edificio oggetto di intervento si trova nel centro di Milano.
1. Inquadramento Tecnico
Le prime indagini, che sono state condotte, riguardano delle analisi storico critiche dell’edificio esistente e dell’unità strutturale oggetto di intervento. L’edificio è degli anni ‘30 e, nell’archivio storico, sono trovati alcuni disegni architettonici che hanno aiutato a comprendere le modifiche vissute dalla struttura dalla sua costruzione fino ad oggi.
1.1 Analisi storico-critica (punto 8.5.1 delle NTC)
Come è possibile osservare, sono state studiate le tre planimetrie architettoniche di tutti i piani, sulle quali è definito l’impianto architettonico dell’edificio.
1.2 Sopralluoghi, rilievi e documentazione fotografica della stato di fatto (punto 8.5.2 delle NTC)
Successivamente, dopo l’analisi storico-critica, sono stati effettuati dei sopralluoghi, dei rilievi materici ed è stata realizzata una documentazione fotografica dello stato di fatto dell’edificio.
L’intervento interessa l’area del sottotetto al di sopra dell’ultimo piano e l’immagine precedente mostra le seguenti viste:
la vista della facciata esterna dell’edificio,
una vista, presa dal cortile interno, sul lato del sito oggetto di intervento,
una vista interna del sottotetto dello stato di fatto,
un particolare esterno della zona oggetto di intervento.
Sono stati eseguiti dei sondaggi, come si mostra nella seguente immagine, con prove distruttive e non distruttive per caratterizzare l’impianto strutturale dell’edificio e per verificare la tipologia di materiali.
Le indagini condotte sono state limitate e circoscritte principalmente alle zone di interesse dell’intervento dato che l’edificio condominiale è molto esteso.
Sono stati fatti dei sondaggi nelle travi degli intradossi e nei solai per verificare la tipologia di solai realizzati. Come si può vedere, nell’immagine precedente a destra, è emerso che i solai sono privi di intonaco.
Studiando globalmente l’edificio, si è appurato che esso, strutturalmente, è stato tutto costruito nel stesso periodo e, quindi, tutti i solai, tutte le travi e le armature sono stati realizzati con le medesime caratteristiche meccaniche. Inoltre, nel piano interrato è presente un piano in cemento armato con dei muri e delle colonne.
La tipologia strutturale, emersa dalle indagini eseguite, è così descritta nella relazione tecnica. L’unità strutturale esistente può essere descritta come un edificio a due ali con un angolo di circa 50° e con un cortile interno. Si sviluppa su 6 piani fuori terra (terreno, primo, secondo, terzo, quarto, quinto, il sesto in parte con destinazione sottotetto ed, infine, un ulteriore piano sottotetto al di sopra del piano sesto). E’ inoltre presente un piano seminterrato su tutta l’estensione dell’edificio.
L’unità strutturale, su cui sarà realizzata l’opera, presenta, nella parte centrale, un sistema costruttivo di pilastri e di travi in c.a. gettati in opera, solai in laterocemento, muratura portante perimetrale in mattoni pieni e una copertura in legno.
L’ultimo piano, invece, è stato realizzato con dei mattoni forati più leggeri perché era a sbalzo rispetto alla struttura dei piani inferiori.
3. Descrizione dei materiali strutturali esistenti (§8.5.3 NTC 2018)
Si descrive, ora, la tipologia dei materiali che costituiscono la struttura. Sono state condotte indagini invasive e non invasive per comprendere le loro caratteristiche meccaniche attuali.
In particolare, i valori di progetto delle resistenze meccaniche dei materiali sono stati volutati, sulla base delle indagini effettuate sulla struttura, tenendo motivatamente conto dell’entità delle dispersioni.
Si sono effettuale prove sclerometriche nei calcestruzzi, verifiche sulle armature dei pilastri e delle travi nelle porzioni al di sotto della zona di intervento.
Le prove non invasive con sonar sono state condotte per individuare la posizione delle armature presenti.
Le compagne sclerometriche, sulla tipologia di calcestruzzo, hanno restituito le seguenti resistenze caratteristiche in situ:
resistenza caratteristica pilastri in c.a.: C25/30
resistenza caratteristica travi in c.a.: C20/25
resistenza caratteristica solai: C 16/20.
Le caratteristiche meccaniche delle armature esistenti sono stato dedotte dalla letteratura dell’epoca di realizzazione (inizio anni 1930), e sono state identificate come barre di armatura liscia in acciaio dolce (con un valore di fyk = 2300 𝑑𝑎𝑁 / cm2 ed un carico di rottura compreso tra 4200 e 5000 𝑑𝑎𝑁 / cm2).
Per caratterizzare le proprietà meccaniche della muratura si è utilizzata la tabella C.8.5.I., della Circolare 17 febbraio 2019 n. 7 della NTC2018, e tali valori sono stati inseriti nella modellazione dell’edificio con i software di calcolo strutturale.
La muratura è in mattoni pieni con malta di calce. I valori dei moduli della muratura della tabella C.8.5.I. sono evidenziati di seguito.
4. Analisi e livello di confidenza della struttura
La NTC 2018 specifica, al punto §8.5.4, che è necessario associare alle analisi strutturali un fattore di confidenza FC che indichi il livello di conoscenza ottenuto sui materiali costituenti la struttura. Nella relazione tecnica, dell’analisi strutturale dell’edificio, si è specificato che il fattore di confidenza FC considerato è pari a 1,35.
4.1 Livelli di conoscenza e fattori di confidenza (punto 8.5.4 NTC)
Sulla base dell’analisi storico critica, della geometria della struttura dedotta dal rilievo dei danni architettonici e dal rilievo generale della struttura, ricavando i dettagli costruttivi delle strutture su cui non è stato possibile effettuare i sondaggi mediante le tecniche costruttive dell’epoca (progetto simulato) e con indagini limitate in situ sulle armature, sui collegamenti presenti e sulle murature, si è optato per il livello di conoscenza più basso, LC1, a cui corrisponde, utilizzando la tabella C8.5.IV sotto riportata, il fattore di confidenza FC=1,35.
Non potendo eseguire ulteriori prove in ogni appartamento, per la presenza di diverse proprietà private, ed eseguendo un sopralluogo mirato su molti appartamenti, il progettista ha verificato che la loro tipologia strutturale è tutta similare a quella della zona in cui sono stati eseguiti i sondaggi e ha confermato la scelta del fattore FC per un livello di conoscenza LC1, indicato nella tabella C.8.5.IV della Circolare NTC18.
5. Inquadramento dell’intervento
È necessario inquadrare, l’intervento da eseguire, all’interno delle categorie indicate nella normativa. Il progettista ha evidenziato che il suo intervento non ricade nella categoria di adeguamento e specifica, inoltre, che l’intervento strutturale è studiato nel rispetto delle Linee Guida FAQ dell’Ordine degli ingegneri di Milano. Questi interventi strutturali sono molto diffusi a Milano e le linee guida FAQ definiscono, in modo più specifico, in quale tipologia di intervento ricadono.
5.1 Inquadramento dell’intervento secondo le NTC 2018 e FAQ
Le NTC 2018 catalogano gli interventi sulle costruzioni esistenti in 3 categorie:
Riparazione o intervento locale (8.4.1);
Intervento di miglioramento (8.4.2);
Intervento di adeguamento (8.4.3).
Per verificare la tipologia di intervento, in cui le opere in progetto vanno a ricadere, si riporta un estratto della norma per la quale è obbligatorio definire l’intervento come adeguamento:
“sopraelevare la costruzione”;
“ampliare la costruzione mediante opere ad essa strutturalmente connesse e tali da alterarne significativamente lo risposta”;
“apportare variazione di destinazione d’uso che comportino incrementi dei carichi globali verticali in fondazione superiori al 10% volutoti secondo la combinazione caratteristica di cui alla equazione 2.5.2 del §2.5.3, includendo i soli corichi gravitazionali”;
“effettuare interventi strutturai volti o trasformare la costruzione mediante un insieme sistematico di opere…”;
“apportare modifiche di classe d’uso che conducano a costruzioni di classe III ad uso scolastico o di classe IV”;
Oltre alla normativa nazionale sono state utilizzate le linee guida FAQ dell’Ordine degli ingegneri della Provincia di Milano, che affermano quanto segue:
Indipendentemente dal tipo di intervento che si andrà ad effettuare, la modellazione iniziale risulta essere la medesima (modello sismico globale nella situazione esistente, modello sismicoglobale dell’unità strutturale nella situazione in progetto, verifica delle strutture esistenti nella porzione interessata dall’intervento e verifiche delle nuove strutture).
Indipendentemente dalla categoria di intervento da eseguire, secondo le FAQ, le verifiche, che devono essere effettuate, sono le medesime.
Si mostrano, per un confronto, i disegni architettonici presentati per descrivere la situazione esistente e quella di progetto con i classici retini gialli e rossi. La zona di intervento è quella indicata in pianta con rettangolino rosso e, come si può verificare, non si è progettato di sopraelevare la costruzione. I criteri delle FAQ, infatti, definiscono che, in questo caso, non è sopraelevazione perché, come si può vedere nella figura a lato della pianta, l’unità strutturale esistente ha già un’altezza di colmo maggiore rispetto a quella ottenuta con il recupero del sottotetto.
La situazione esistente da demolire è indicata con il giallo e la situazione post-intervento è indicata in rosso:
6. Modellazione dell’edificio
Successivamente, si sono realizzati sia un modello globale coerente con la situazione esistente sia un modello globale coerente con la situazione in progetto, utilizzando il software 3Muri Project di S.T.A. DATA.
Ovviamente, si è proceduto alla realizzazione di un progetto simulato per le proporzioni di unità strutturale in cui non si avevano delle caratteristiche definite con i sondaggi effettuati in situ.
Per tale verifica è stata utilizzata un’analisi statica non lineare, dato che la struttura esistente è prevalentemente in muratura.
La copertura della struttura esistente è stata modellata solamente nella porzione di fabbricato in cui si eseguono le opere di intervento, mentre per le restanti porzioni della struttura, la copertura, è stata inserita come carico agente.
Si può vedere, nell’immagine seguente la vista 3D del modello globale pre-intervento e, nell’immagine a destra, la pianta esistente del solaio del sesto orizzontamento su cui si è eseguito l’intervento.
Si mostra ora, la situazione in progetto nel modello globale 3D post-intervento e la nuova pianta:
Come si può vedere, verrà realizzata una struttura a telaio di tipo leggero in acciaio, principalmente, per due motivi: il primo motivo è quello di ottenere una nuova struttura con un minor carico sulla struttura esistente, il secondo motivo è quello di avere facilità di posa.
Si è, poi, scelta questa soluzione per aggirare la problematica di approvvigionamento del materiale edile a quelle altezze e, soprattutto, in quella zona del centro di Milano.
7. Analisi statica non lineare dell’edificio
Si sono effettuate, quindi, l’analisi statica non lineare sia nella situazione pre-intervento, cioè esistente, sia per quella di progetto. Si è quantificata, nelle due situazioni, la risposta sismica globale e qui si mostrano, tali risultati, espressi in scala cromatica.
Si può vedere che, strutturalmente, l’edifico, già nella situazione esistente, non aveva delle problematiche, anche se le travi in c.a. risultavano molto esili. Sulle murature, solamente nelle parti superiori, si sono evidenziate alcune problematiche dovute a questi muri realizzati con dei mattoni forati.
8. Confronto della risposta sismica dell’edificio pre e post intervento
Successivamente, confrontando i due modelli, si è verificato il cambiamento della risposta sismica globale dell’edificio. Sono stati ricavati i grafici che confrontano le verifiche della situazione esistente e in progetto in tutti gli stati limite: SL della vita, SL di danno, SL di collasso e SL operativo.
Come si può vedere, queste nuove opere in progetto, non vanno a peggiorare la risposta sismica dell’edificio e, in alcuni casi, possono anche migliorarla perché, ovviamente, la copertura esistente risulta molto spingente e, invece, la copertura ristrutturata, come da progetto, fornisce una rigidità maggiore in quella porzione di edificio.
Nello step successivo, si è valutata la variazione del carico trasmesso in fondazione nell’unità strutturale nella situazione esistente ed in progetto, sempre con l’ausilio del software 3Muri.
In 3Muri si sono effettuate le seguenti due verifiche delle fondazioni:
al di sotto delle murature, quindi, nelle fondazioni continue;
al di sotto dei pilastri, quindi, nei plinti.
Ovviamente, al di sotto della muratura la variazione di carico è praticamente nulla, mentre nei plinti, e soprattutto in quelli interessati dalle nuove opere, vi è una variazione di carico ma, tale variazione, come è possibile vedere nella tabella al fondo dell’immagine precedente, è inferiore al 10% del carico statico presente prima della realizzazione delle nuove opere.
9. Analisi del telaio in acciaio
Successivamente, dopo aver fatto delle verifiche globali della struttura mista, con 3Muri, sono state eseguite le verificate delle sezioni in acciaio delle strutture del telaio, ossia le sezioni IPE di travi e pilastri e le sezioni degli elementi in acciaio di rinforzo degli elementi in c.a. esistenti.
Per le verifiche di questi elementi in acciaio, si è utilizzato il software AxisVM.
Le due immagini tridimensionali, nella figura seguente, mostrano la vista 3D del telaio in acciaio scelto e il modello 3D della tipologia di collegamenti tra le aste in acciaio.
Tale modello è stato verificato con un’analisi dinamica lineare con le sollecitazioni agenti sulla porzione in c.a. precedentemente analizzata in 3Muri Project.
Nella seguente immagine, si mostrano le sollecitazioni che agiscono sulla struttura in acciaio secondo la combinazione allo SLU.
Tale struttura in acciaio è stata vincolata senza incastro alla base per non far sparire degli sforzi di momento sulla muratura esistente e sugli orizzontamenti esistenti.
L’altra peculiarità, che si può osservare, è che la parte anteriore inclinata è stata vincolata con un semplice appoggio ed è realizzata architettonicamente a sbalzo. In quella posizione planimetrica, prima dell’intervento, vi era una muratura che scaricava il carico su una trave in cemento armato e non direttamente in fondazione. Nel progetto di intervento si è scelto di inserire, in tale posizione, dei pilastri in acciaio al di sopra della trave esistente in c.a. e si è studiato opportunamente il rinforzo di tale trave.
Infine, la chiusura perimetrale del sottotetto è stata realizzata posizionando in modo inclinato, in semplice appoggio, le travi IPE a sbalzo sui pilastri in acciaio.
Si mostrano i risultati ottenuti, in scala cromatica, delle verifiche di efficienza delle sezioni in acciaio del telaio.
Si è verificata l’efficienza dei profilati sia allo stato limite ultimo sia allo stato limite di esercizio comparando una caratteristica meccanica dei profilati con quella ricavata ponendo uno degli spostamenti verticali pari a 1 / 250 L e uno degli spostamenti orizzontali pari a 1 / 250 H, dove L è la luce della trave e H è l’altezza d’interpiano. Infine, si è ricavata l’efficienza globale della struttura in acciaio in progetto nella situazione definitiva dei profilati.
10. Analisi dei nodi in acciaio
I nodi in acciaio sono stati verificati con il post processore di AxisVM e poi confrontati con i fogli di calcolo SAITU preparati da S.T.A. DATA.
11. Analisi statica delle strutture esistenti in c.a.
Successivamente, sono state eseguite, in AxisVM, le verifiche delle armature delle strutture in cemento armato esistenti.
I solai esistenti, nelle porzioni interessate, non avevano le caratteristiche idonee di portata per un solaio residenziale di 200 kg / m2 e, quindi, sono stati sottoposti ad intervento e alle verifiche strutturali delle armature progettate per tale rinforzo.
I solai sono stati rinforzati mediante l’inserimento dei connettori e con un getto integrativo di calcestruzzo alleggerito. Le loro verifiche strutturali sono state eseguite con degli algoritmi su fogli Excel.
La trave principale T601, che si può vedere nella precedente immagine, è stata anch’essa verificata inserendo le caratteristiche di materiali prima descritte. La verifica a momento non risultava soddisfatta e, quindi, si è deciso di aggiungere un’armatura superiore con dei tondini di diametro φ16 mm. La verifica è stata superata utilizzando la stessa resistenza meccanica dell’acciaio esistente e, dunque, ampiamente verificata sapendo che le nuove armature hanno delle caratteristiche meccaniche decisamente migliori rispetto a quelle esistenti.
12. Fasi di esecuzione dell’intervento
Si mostra una documentazione fotografica delle fasi di esecuzione.
Come si può vedere, per la prima fase, è stato effettuato un rinforzo dei solai e delle travi, un nuovo raccordo in calcestruzzo al di sopra della soletta stessa ed è stato realizzato un piccolo balcone a sbalzo sempre in calcestruzzo alleggerito.
Per l’esecuzione del rinforzo dei solai è stato permesso, dal proprietario dell’appartamento al di sotto dello stesso, il puntellamento del solaio dalle fasi di getto fino al completo indurimento.
Nell’ultima foto a destra, della precedente immagine, si mostra come è stato realizzato il rinforzo della trave principale T601, dove poi sono stati appoggiate le strutture del telaio in acciaio progettate per il recupero del sottotetto.
Nella immagine seguente, possiamo vedere una documentazione fotografica del telaio in acciaio.
Esse sono abbastanza semplici perché si sviluppano planimetricamente su un unico piano e, soprattutto, perché sono state scelte per essere le più leggere possibili, per evitare di aumentare molto i carichi agenti sulle strutture sottostanti.
Si mostra, nella foto a destra, che la parte inclinata non è appoggiata direttamente sul solaio di calpestio ma è appoggiata su una colonna che è appoggiata su una trave principale in acciaio. Le travi portanti in acciaio sono state appoggiate sui pilastri in c.a. esistenti che corrono fino in fondazione.
Per un fattore di sicurezza, la nuova struttura è stata appoggiata su una struttura portante esistente che arriva diretta fino in fondazione.
Come si può vedere, questo è il risultato finale del recupero di questo sottotetto.
Nell’immagine a destra, si vede che l’intervento ha ripreso l’aspetto architettonico dell’andamento della struttura inferiore e, per questo, sono state inserite delle finestrature con le dimensioni simili a quelle esistenti.
Nella foto centrale si mostra che l’andamento della nuova copertura ricalca quello della copertura dell’edificio adiacente.
13. Verifica statica del ponteggio
In un cantiere ci sono anche le peculiarità legate al ponteggio e nella seguente immagine si mostra la soluzione studiata per il ponteggio usato e il suo modello virtuale creato in AxisVM.
In questo cantiere vi era la problematica legata all’impossibilità di installare nel cortile interno un ponteggio con annesso montacarichi per portare tutto il materiale nella zona di lavoro. Il cortile interno è privato e non è stato concesso il permesso per realizzare il ponteggio all’interno di esso. Per ovviare a tali problematiche, è stato realizzato il ponteggio in strada ad uso castello di salita fino al cantiere del sottotetto e, su di esso, è stato fissato un montacarichi di servizio. Si è realizzata una passerella a sbalzo verso Ia struttura oggetto di intervento.
Per le verifiche statiche, della struttura del ponteggio fuori standard con sbalzo frontale, si è creato un modello virtuale con aste in acciaio in AxisVM.
Sono state effettuate tutte le analisi allo stato limite ultimo e di esercizio e il software ha redatto la relazione tecnica del ponteggio per tutte le verifiche eseguite.
Nell’immagine successiva si mostrano le foto di questo ponteggio realizzato in strada con il montacarichi di servizio.
Si precisa che, nelle immagini il ponteggio non era ancora finito ma in corso di realizzazione. Tale struttura ha permesso alla ditta esecutrice di poter lavorare sicuramente in modo più agevole e senza creare troppo disturbo ai condomini che vivevano al di sotto della struttura oggetto del cantiere.
14. Conclusioni
L’intervento, oggetto di studio, ricade all’interno delle FAQ del Comune di Milano e della norma nazionale avendo tutti i presupposti indicati in tale documento.
Tali opere sono state realizzate come intervento locale anche se potevano essere impostate come intervento di miglioramento. Il confronto con i tecnici del Comune di Milano è stato utile e chiarificatore perché essi hanno confermato che rientrava nei requisiti di intervento locale.
Si sottolinea che tutte le verifiche eseguite sono indipendenti, come già detto precedentemente, dalla tipologia di intervento da realizzare, ossia se l’intervento è di tipo locale, di miglioramento o di adeguamento.
Ringraziandovi per l’attenzione si ricorda che per qualsiasi tipo di richiesta di chiarimento e di osservazione l’ingegnere Matteo Stanzani è disponibile a rispondere presso il suo Studio d’Ingegneria Stanzani a Valdilana (BI).
https://stadata.com/wp-content/uploads/2023/11/cropped-view-of-the-building-after-the-earthquake-2022-07-12-14-49-11-utc.jpg9601440S.T.A. DATA srlhttps://stadata.com/wp-content/uploads/2023/10/logo-stadata.pngS.T.A. DATA srl2024-09-09 11:30:002024-07-30 16:50:47Case-history: Recupero di sottotetto in edificio condominiale
Un libro molto interessante, “The History of the theory of structures” di Karl-Eugen Kurrer, nella parte dedicata agli archi in muratura, apre in questo modo:
“The masonry arch is still one of the mysteries of architecture. Anybody who looks into the history of theory of structures quickly encounters this puzzle, the solution to which has occupied countless numbers of scientists and engineers right up to the present day”
“L’arco in muratura è ancora uno dei misteri dell’architettura. Chiunque analizzi la storia della teoria delle strutture incontra rapidamente questo enigma, la cui soluzione ha occupato innumerevoli scienziati e ingegneri fino ai giorni nostri”.
E l’avventura non è ancora finita.
In effetti è molto strano che un tipo di struttura con più di 2000 anni di vita sia ancora oggetto di tante analisi e non si sia ancora giunti a un’unica soluzione condivisa.
Basta una ricerca su Google per scoprire centinaia di documenti, dei quali una buona parte raccontano cosa è stato realizzato nel passato, e poi gli studi recenti, numerosi e con diversi approcci, da parte di quasi tutte le scuole di ingegneria strutturale, italiane e non.
Tanti documenti, ognuno dei quali propone una soluzione, ma in modo un po’ evasivo, nell’incertezza di non aver risolto completamente il mistero.
Oggi, usando un inglesismo alla moda, si direbbe che l’arco in muratura è una struttura smart, molto smart. Perché smart?
La prima ragione: l’arco sfrutta il materiale (naturale o artificiale) nel miglior modo possibile, lavorando principalmente a compressione con tensioni mediamente molto basse, e quindi non soffre lo stress che le strutture moderne sono costrette a sopportare.
Dall’ottocento in poi l’uso di moderni metodi di analisi hanno sempre di più consentito opere leggere e ottimizzate, salvo poi rendersi conto di problemi nel tempo (vedi il degrado del c.a.) e del successivo deterioramento o inadeguatezza per aumenti di carico non previsti.
L’arco, e in generale le strutture in muratura, essendo poco sollecitate, non soffrono aumenti di carico.
La seconda ragione è la grande capacità di sopportare cedimenti e danni localizzati senza gravi conseguenze.
Questa proprietà, vedremo in seguito perché, consente alle strutture ad arco di assorbire, entro certi limiti, fenomeni dovuti a problemi di fondazione, come cedimenti e rotazioni.
La terza ragione è stata la semplicità del dimensionamento di massima. Nel passato si sono usate poche regole per la costruzione, nessun calcolo, nessuna analisi non lineare, semplici rapporti raggio spessore dell’arco e dei piedritti di sostegno.
Regole empiriche, basate sull’esperienza, che oggi siamo in grado di indagare confermandone la validità, dotate di quella semplicità che è alla base di qualsiasi sistema che dura nel tempo.
Insomma: le NTC hanno scoperto l’acqua calda richiedendo il rispetto di criteri di durabilità. Le strutture ad arco hanno da sempre posseduto queste caratteristiche.
Entrando nelle ragioni più analitiche, la gran parte di quanto sopra indicato deriva da una proprietà, apparentemente negativa: la non linearità del materiale.
La muratura non sopporta sforzi di trazione.
Mentre archi realizzati con materiali resistenti a trazione, come il c.a. e l’acciaio, possono portare qualsiasi tipo di carico, per l’arco in muratura i carichi devono essere tali da non provocare distacchi tra i conci.
Per contrastare questo limite interviene la forma.
La curvatura consente di smorzare l’effetto delle spinte orizzontali con i carichi verticali conservando il carico all’interno della sezione stessa, evitandone il ribaltamento.
Se, apparentemente, tutto sembra semplice, quando occorre valutare analiticamente la capacità portante di un arco, sia per carichi verticali che per azioni sismiche, le cose sono molto, molto complesse.
Contrariamente all’analisi elastica delle strutture, di cui si dispone una trattazione oramai consolidata e condivisa, per il calcolo analitico delle strutture ad arco sono state proposte diverse soluzioni.
La complessità è dovuta, come già detto, prima di tutto alla non linearità del materiale, e alle diverse ipotesi, più o meno semplificative, adottate.
Chi si è occupato di archi in muratura è stato Leonardo.
“L’arco non si romperà se la corda dell’archi di fori non toccherà l’arco di dentro”
–
Grande studioso delle strutture in muratura e di archi e volte è stato il prof. Heyman, (The Stone Skeleton 1995, The masonry arch.)
Suo il seguente criterio:
“Se esiste una linea delle pressioni per l’arco completo che sia in equilibrio con i carichi applicati, incluso il peso proprio, e che risulti ovunque interna allo spessore dell’arco in ogni punto e in corrispondenza di ogni sezione, allora l’arco può considerarsi in condizioni di sicurezza”.
Sorprendente la somiglianza con il criterio di Leonardo da Vinci, che senza la cultura scientifica moderna, enunciò un principio simile secoli prima.
Ancora più sorprendente la deduzione del prof. Giuffrè, un altro grande studioso della materia:
“Se l’analista riesce a trovare una curva delle pressioni completamente interna allo spessore dell’arco,
questo sarà almeno altrettanto bravo a trovarsene una da sé e quindi rimanere in equilibrio”.
Ecco perché l’arco è davvero smart!
Metodi di calcolo
METODI STORICI
I metodi storici per il dimensionamento e quindi anche per la verifica di archi in muratura sono perlopiù di origine empirica, dedotti dall’esperienza, a partire da Leonardo. A seguire sono state proposte diverse regole, tutte principalmente basate su rapporti geometrici, come la seguente:
∙
– Regola geometrica di Padre Deran, da (Boscotrecase L. 2006), p. 239
Modalità di calcolo di La Hire per il calcolo dello spessore del piedritto.
Determinazione mediante procedura grafica dello spessore dell’arco soggetto a carichi permanenti (Couplet, 1730).
METODI MODERNI
I metodi moderni per la verifica di archi in muratura si possono dividere, approssimativamente, in due approcci, molto diversi tra loro.
Il primo valuta lo stato interno dell’arco, quindi sollecitazioni e tensioni, con una serie di ipotesi più o meno complesse e, attraverso analisi grafiche e analitiche, valuta la resistenza della struttura in relazione ai carichi.
L’analisi di sollecitazioni e tensioni avviene attraverso lo studio della curva delle pressioni.
La prima questione che si presenta, essendo la struttura iperstatica, è che esistono infinite curve possibili, quindi occorre necessariamente semplificare il problema.
In questa semplificazione si nasconde il mistero.
APPROCCIO ELASTICO LINEARE
L’arco in muratura è iperstatico, quindi, in linea di principio, è possibile trattarlo con la teoria del corpo elastico; lo si può simulare con un telaio, suddividendolo in tratti lineari o curvi e utilizzare degli elementi “beam”, ma ci sono diverse controindicazioni.
La prima riguarda la definizione delle caratteristiche del materiale, non di facile conoscenza. Ad esempio, per l’arco in mattoni entrano in gioco modulo elastico del laterizio e della malta; i giunti possono avere spessore diverso, il materiale spesso non è omogeneo.
Un’altra questione aperta, derivante dalla logica del solido elastico, è la grande influenza di distorsioni nella struttura per piccoli cedimenti dei piedritti. L’analisi elastica consente l’insorgere di grandi sforzi interni.
Questo è in forte contrasto con la realtà, dove anche grandi spostamenti non hanno inficiato la stabilità complessiva. Proprio la non linearità del materiale evita questo effetto, e questo è stato chiarito molto bene dal prof. Heyman, con l’idea che le strutture in muratura sono in grado di autostabilizzarsi.
Se anche non si verificassero le due prime questioni, la risposta all’analisi elastica ha senso solo se la curva delle pressioni resta all’interno della sezione dell’arco, meglio ancora se all’interno del terzo medio. Se questo non succede l’analisi semplicemente non ha senso in quanto indurrebbe sforzi di trazione non ammissibili.
APPROCCIO PER ELEMENTI DISCRETI E PER MECCANISMI
Il secondo approccio affronta il problema riducendo l’arco da iperstatico a isostatico, inserendo opportune cerniere sino a rendere l’arco un meccanismo, che può essere studiato con l’analisi limite. In questo caso la verifica della sicurezza avviene attraverso il rapporto tra carico sopportabile e carico imposto.
Questo approccio è quello proposto dalle Norme Tecniche per le Costruzioni per tutte le tipologie di meccanismi locali.
Le indicazioni delle NTC
Non esistendo nelle normative vigenti prescrizioni specifiche per gli archi in muratura, il capitolo di riferimento è in generale il Cap. 8 sulle costruzioni esistenti.
In particolare, la Circolare n.7/2019 descrive dei metodi di calcolo per quelle strutture in muratura per le quali la crisi non sia in genere causata dal raggiungimento della resistenza limite del materiale, ma piuttosto dalla trasformazione della struttura in un meccanismo di corpi rigidi, tra loro connessi da vincoli interni come cerniere, non più in grado di resistere ad azioni esterne.
È ben documentato in letteratura, infatti, come gli archi in muratura siano strutture di questo tipo, in cui il principale motivo di collasso risiede nell’allontanamento della curva delle pressioni dal nocciolo centrale di inerzia in più punti (quattro punti, se si assume l’arco tre volte iperstatico), con conseguente formazione di cerniere ad attrito che trasformano la struttura in una catena cinematica.
Per questo tipo di costruzioni la Circolare propone due metodi di calcolo: l’analisi cinematica lineare e non lineare, entrambe figlie dell’approccio cinematico, contrapposto a quello statico nell’analisi limite delle strutture.
Il metodo cinematico, infatti, si propone di trovare il moltiplicatore di collasso (ovvero il moltiplicatore delle forze esterne tale da innescare il collasso della struttura) cercandolo tra i possibili meccanismi di collasso e scegliendo poi il minore, l’unico staticamente ammissibile.
Tornando all’arco, infatti, è facile immaginare come la posizione delle quattro cerniere che trasformano la struttura in una catena cinematica non sia nota a priori: a ciascuna configurazione è associato un diverso moltiplicatore di collasso, ma quella che porterà la struttura a collasso è associata al moltiplicatore di collasso più piccolo. La questione si riconduce quindi a un problema di ottimizzazione:
𝛼∗ = min{𝛼̅}
Ma qual è, più nello specifico, la procedura per ottenere il moltiplicatore di collasso 𝛼0?
Ipotizzata una possibile catena cinematica, l’imposizione di un’unica rotazione alla prima cerniera genererà un campo di spostamenti di tutti i punti della struttura, calcolabile a partire da quell’unica rotazione; noti gli spostamenti e noti i carichi esterni, sarà possibile ottenere il lavoro compiuto da ciascuno di questi. Infine, il rapporto tra i lavori non proporzionali ad 𝛼0 e quelli proporzionali fornirà il moltiplicatore di collasso:
𝛼0 𝐿1 + 𝐿2 = 0
𝛼0 = − 𝐿2 / 𝐿1
Dove 𝐿1 è la somma dei lavori proporzionali al moltiplicatore di collasso, mentre 𝐿2 è la somma dei lavori
indipendenti da quest’ultimo.
Analisi cinematica lineare
Ottenuto il moltiplicatore di collasso staticamente ammissibile, la Circolare descrive la procedura per ricondurre quest’ultimo alla capacità in termini di accelerazione orizzontale, da confrontare con l’accelerazione sismica di progetto:
Dove 𝑞 è il fattore di comportamento che, in assenza di valutazioni più accurate, può essere assunto pari a 2, e 𝑎𝑧,𝑆𝐿𝐷 è, invece:
In cui 𝑒∗ è la frazione di massa partecipante, valutata sulla base degli spostamenti virtuali relativi al cinematismo.
Analisi cinematica non lineare
L’analisi cinematica non lineare non si limita alla valutazione del moltiplicatore di collasso relativo all’unico cinematismo staticamente ammissibile, ma si propone di tracciare una vera e propria curva di capacità.
Una volta nota la catena cinematica staticamente ammissibile, la rotazione imposta alla prima cerniera viene via via incrementata, ottenendo, su ogni configurazione deformata, il relativo moltiplicatore di collasso 𝛼0, che sarà, naturalmente, decrescente all’aumentare della deformazione.
Scegliendo un punto della struttura come nodo di controllo, sarà possibile monitorarne lo spostamento a ogni step di deformazione e correlarlo al moltiplicatore di collasso, per ottenere, così, un punto della curva di capacità.
L’ultimo step di deformazione sarà quello oltre il quale un’ulteriore deformazione comporterebbe l’ottenimento di un moltiplicatore di collasso non più ammissibile, ovvero negativo.
Ottenuta l’intera curva di capacità, lo spostamento ultimo 𝑑0 viene, in accordo con C8.7.2.1.6, ridotto al 40% e al 60% per ottenere rispettivamente 𝑑∗𝑆𝐿𝑉 e 𝑑∗𝑆𝐿𝐶 dell’oscillatore equivalente.
Tramite interpolazione lineare si ottengono le corrispondenti 𝑎∗𝑆𝐿V e 𝑎∗𝑆𝐿𝐶 , mentre il periodo equivalente dei due stati limite è:
Tali periodi vengono utilizzati per il calcolo della domanda di spostamento:
Il modulo arco del software 3Muri IL
Il modulo Arco del software 3Muri IL è il frutto del know-how acquisito da S.T.A. DATA nella trattazione di una materia così complessa come quella degli archi in muratura, mettendo a disposizione dei progettisti diverse analisi tra le quali scegliere e una lunga serie di strumenti per migliorare l’adeguatezza del modello matematico rispetto alla realtà.
In quest’ottica, è possibile ottenere un arco che interpoli i punti; qualora il numero di questi, ottenuti da un rilievo, sia troppo scarso, si può tenere conto del contributo stabilizzante orizzontale del riempimento, compresso dall’arco stesso contro un’eventuale parete fissa in presenza di azioni orizzontali; meritano menzione a parte i carichi variabili, distribuiti in maniera uniforme o parziale e trasmessi all’arco sottostante attraverso un angolo di diffusione.
L’utente può condurre analisi statiche e sismiche. Per quanto riguarda le prime, un’analisi elastica fornisce le sollecitazioni agenti sulla struttura, così come l’andamento della curva delle pressioni; la lettura del valore delle tensioni consentirà di evitare anche quei rari casi in cui la crisi possa avvenire per raggiungimento di alti valori di compressione prima che la struttura si trasformi in un cinematismo. In alternativa, un’analisi di tipo cinematico, condotta usando i carichi variabili come proporzionali al moltiplicatore di collasso, restituisce il valore per i quali questi ultimi dovrebbero essere amplificati o ridotti per portare l’arco a incipiente collasso. D’altra parte, le analisi in presenza di azioni sismiche sono quelle sopra descritte, cinematica lineare e non lineare, in accordo con la Circolare n.7/2019.
La questione della ricerca dell’unica configurazione staticamente ammissibile viene risolta dal software attraverso un efficiente metodo di ottimizzazione.
Il software fornisce l’esito delle verifiche pre-intervento ed eventualmente post-intervento, a seguito dell’applicazione di rinforzi all’intradosso e/o all’estradosso. Tali rinforzi vengono tenuti in conto introducendo un contributo aggiuntivo al calcolo del lavoro: l’apertura delle cerniere, infatti, comporterà l’insorgenza di uno sforzo di trazione nei rinforzi.
Perciò, il lavoro prodotto dai rinforzi è:
Dove 𝑥𝑖 è l’apertura dell’i-esima cerniera e 𝐹𝑐 è la forza di trazione cui è sottoposto il rinforzo:
Dove 𝑘 è la rigidezza assiale del rinforzo.
L’analisi cinematica non lineare fornisce i risultati sia sotto forma di rapporto tra spostamento ultimo e spostamento richiesto per lo stato limite di interesse, sia in termini di curva di capacità e visualizzazione grafica della deformata della struttura.
https://stadata.com/wp-content/uploads/2024/08/fig-04.jpg282512S.T.A. DATA srlhttps://stadata.com/wp-content/uploads/2023/10/logo-stadata.pngS.T.A. DATA srl2024-08-12 11:00:002024-07-30 16:49:03L’arco in muratura: un mistero ancora da scoprire
Per fornire le migliori esperienze, utilizziamo tecnologie come i cookie per memorizzare e/o accedere alle informazioni del dispositivo. Il consenso a queste tecnologie ci permetterà di elaborare dati come il comportamento di navigazione o ID unici su questo sito. Non acconsentire o ritirare il consenso può influire negativamente su alcune caratteristiche e funzioni.
Funzionale
Sempre attivo
L'archiviazione tecnica o l'accesso sono strettamente necessari al fine legittimo di consentire l'uso di un servizio specifico esplicitamente richiesto dall'abbonato o dall'utente, o al solo scopo di effettuare la trasmissione di una comunicazione su una rete di comunicazione elettronica.
Preferenze
L'archiviazione tecnica o l'accesso sono necessari per lo scopo legittimo di memorizzare le preferenze che non sono richieste dall'abbonato o dall'utente.
Statistiche
L'archiviazione tecnica o l'accesso che viene utilizzato esclusivamente per scopi statistici.L'archiviazione tecnica o l'accesso che viene utilizzato esclusivamente per scopi statistici anonimi. Senza un mandato di comparizione, una conformità volontaria da parte del vostro Fornitore di Servizi Internet, o ulteriori registrazioni da parte di terzi, le informazioni memorizzate o recuperate per questo scopo da sole non possono di solito essere utilizzate per l'identificazione.
Marketing
L'archiviazione tecnica o l'accesso sono necessari per creare profili di utenti per inviare pubblicità, o per tracciare l'utente su un sito web o su diversi siti web per scopi di marketing simili.